節點定位是實現傳感器網絡應用的前提,控制節點定位誤差成為保證網絡正常運行的關鍵。采用基于測距的定位算法,可以達到良好的精度,但需要測量裝置,不適合能量受限的無線傳感器網絡。本文分析了常用的非測距定位算法,并在此基礎上提出了一種改進的基于序列的非測距定位算法,以提高無線傳感器網絡定位算法的性能。
2015-08-18 09:58:47
1597 移動機器人視覺的研究主要集中在顏色模型建立、目標識別、定位以及跟蹤等方面。目標的實時識別與定位是足球機器人在足球賽中精確踢球的前提。文章主要是針對目前足球機器人在視覺系統上所存在的問題進行了顏色模型建立及目標定位算法的改進,加入了目標追蹤算法,確保目標識別與定位的準確。
2016-09-19 11:18:42
3353 最近想看一下漏水傳感器,發現好像沒啥資料,可能是我不會搜,找不到自己想要的。目前整理到的資料就是:下圖一定位漏水傳感器,4根線,兩根信號線,兩根感應線,有水的時候,兩根感應線短路。下圖二,非定位漏水
2023-02-20 11:28:46
改進的二進制搜索算法原理是什么?改進的二進制搜索算法有什么優勢?
2021-05-20 07:12:57
工作的基礎上,就虹膜成像、虹膜區域定位、等關鍵術進行了討論,給出了一些相關的改進及微積分算法,實現了一套基于虹膜識別的定位系統。實驗結果驗證了工作的有效性。虹膜定位是虹膜識別的重要步驟,因而精確而快速地進行虹膜
2013-07-12 18:55:05
開發板概述
核心芯片 :基于Decawave的DW3000芯片,主控為nrf52832,集成板載天線和電源管理模塊。
定位性能 :支持單向測距(SWR)、雙向測距(TWR)、TDOA定位方案
2025-05-12 09:36:45
什么是ECG信號的預處理算法和R波定位算法?
2021-11-22 07:02:07
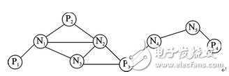
測距定位常用的測量方法有:DV- Hop、質心、APIT、MDSMAP?! ?b class="flag-6" style="color: red">DV-Hop為典型的基于非測距定位,其對硬件要求低,實現簡單。它的不足之處在于計算平均跳距及定位坐標時會產生誤差。因此針對
2018-11-12 16:06:59
公司初步決定要研發“基于DWM1000的測距和定位器”.要求如下:1. 在通視(空曠、無障礙物)的情況下,實現500米以上距離的測距,誤差
2020-08-18 05:26:32
是依靠網絡的連通性等信息進行定位,不需要計算節點間距離或角度信息,主要有質心算法、DV-hop算法、凸規劃、Amorphous算法、APIT等?;?b class="flag-6" style="color: red">測距的定位算法與無需測距的定位算法相比雖然有著成本較高
2020-08-28 06:07:05
什么是RSSI測距?基于RSSI的室內定位算法有什么優越性?
2021-05-31 06:00:18
,基于距離的定位算法主要有RSSI、TOA、TDOA、AOA 等,距離無關的定位算法主要有質心算法、DV-hop 算法、凸規劃、MDS-MAP 等?! SSI 測距無需額外硬件,實現簡單,具備低功耗
2018-11-13 11:10:15
μC/OS-Ⅱ關鍵算法邏輯如何去改進μC/OS-II的關鍵算法?改進的μC/OS-II在LPC2210上的移植
2021-04-27 06:37:42
精度取決于信道物理品質、信號源密度、環境和算法的準確性,造成定位軟件的成本較高,提高空間還很大?! ?、超聲波定位 超聲波在空氣中的衰減較大,不適用于大型場合,加上反射測距時受多徑效應和非視距傳播
2020-08-11 08:00:28
%。 Niculescu 等人提出了DV-Hop 定位算法, 它從網絡中收集相鄰節點信息, 計算不相鄰節點之間最短路徑。DV-Hop 算法使用已知位置節點的坐標來估測一個跳躍距離, 并使用最短路徑的跳躍距離
2018-11-05 15:56:57
數字圖像處理原理是什么?簡單Ferret算法原理是什么?改進的Ferret算法原理有哪些步驟?改進的Ferret算法和目前常用的測量算法有哪些不同?
2021-04-15 06:58:37
如何去設計GPS測距定位系統的軟件部分?如何對GPS測距定位系統進行仿真測試?
2021-05-25 07:24:39
求:BP算法改進的matlab代碼,改進算法思想:1、自適應調整學習率2、自適應調整動量因子3、自適應調整允許誤差謝謝各位高手!
2013-05-20 17:19:23
在各種單端時域測距算法中,解微分方程算法具有算法簡單,實時性好,不必濾除衰減直流分量和不受電網頻率波動的影響等優點,可在電網保護等領域得到應用。然而傳統的解微分方程算法受過渡電阻影響,使其在測距精度
2023-09-27 07:17:02
針對交互式遺傳算法中收斂速度慢和容易陷入局部收斂的缺點,提出遺傳算法算子的一些改進策略,即利用定位部分優良基因方法,使這些基因較好地遺傳到下一代。改進的算法能
2009-04-03 08:38:14
17 針對無線傳感器網絡,提出一種基于Monte Carlo方法的非測距無線傳感器網絡節點定位算法。該算法通過計算隨機散布的粒子與錨節點之間的距離再與最大射頻傳送距離比較,根據權值
2009-04-06 08:44:23
7 無線傳感器網絡中節點的自身定位是其大多數應用的基礎,文章利用網絡中存在的冗余信息,針對客觀存在的不良節點,對現有分布式無需測距技術的Amorphous定位算法進行改進,以提高
2009-04-07 09:49:34
18 針對DV-Hop定位算法中部分參與定位的錨節點位置近似成直線而引起的定位性能較低的問題,提出一種基于角度閾值的錨節點選擇策略,通過設置角度閾值來篩選錨節點以提高DV-Hop的
2009-04-13 09:10:04
17 定位算法是無線傳感器網絡的關鍵技術之一。該文提出的無測距分布式定位算法由比例定位法和改進的可控泛洪法組成。節點只須知道錨點位置及其到錨點的最少跳數,無須提供網
2009-04-23 10:30:51
21 節點定位技術是無線傳感器網絡的支撐技術,給無線傳感器網絡的各種應用提供節點的位置信息,具有重要作用。本文對基于測距的DV-distance 算法的誤差及其產生原因進行了分析
2009-09-09 15:38:26
15 無線傳感器網絡中節點的自身定位是其大多數應用的基礎,文章利用網絡中存在的冗余信息,針對客觀存在的不良節點,對現有分布式無需測距技術的Amorphous定位算法進行改進,以提高
2009-11-23 10:57:43
17 在無線傳感器網絡中,節點自身定位是支撐性的技術。本文研究了無線傳感器網絡DV-Hop 節點定位算法,并在此基礎上提出了一種改進的算法:它對平均每跳距離的計算進行了改進
2009-12-23 12:11:08
18 基于遺傳算法的非確定性目標優化:在分析遺傳算法和非確定性目標的基礎上,給出了模糊適應度函數,改進了模糊遺傳算法并用于非確定性目標的搜索,研究了其算法結構。最后
2010-01-12 17:07:55
17 蜂窩網無線定位技術中,非視距(NLOS)誤差的存在使得蜂窩網無線定位技術的定位精度急劇下降。針對NLOS 環境,對基于卡夫曼濾波的動態跟蹤定位算法進行了改進。首先引入判
2010-01-15 14:11:41
8 節點定位是無線傳感器網絡中的重要應用之一。為了有效抑制各種因素對無線傳感器節點定位精度的影響,以三邊定位算法為基礎,提出了一種基于誤差校正的定位算法。該算法
2010-09-02 15:25:45
43 CC2431的無線定位引擎及其應用改進
CC2431是一款帶定位引擎的片上系統。文章詳細介紹基于RSSI技術的無線定位引擎的特點、功能、定位算法、軟件操作方
2009-03-29 15:11:39
959 
一、產品簡介國產 UWB 和 PA 芯片二維定位基站是一款基于先進 UWB 與 PA 芯片技術打造的精準測距定位設備,由穩傳測控精心研發推出。它采用高品質國產芯片,具備出色的定位精度
2025-05-15 18:03:09
摘要:為了提高基于電荷耦合元件的光纖傳感系統中光斑光強峰值的定位精度,在傳統灰度重心法的基礎上提出基于非線性權值和線性插值的峰值定位算法,在不同噪聲情況下比較原重心法與改進的重心法的定位精度。實驗結果表明,改進的算法能達到0.05個像元大小的
2011-02-08 16:13:25
37 提出一種基于移動錨節點的改進DV-Hop定位算法。在網絡中引入具有一定移動能力的錨節點,并構建錨節點之間的虛擬力模型,錨節點受到虛擬力作用發生移動,從而均勻的分布于整個網
2012-01-12 10:20:51
21 GPS測距定位基本原理,很好的PPT教程。
2012-11-17 14:41:14
37 文中首先介紹了雷達測距的兩種常用方法,通過分析,調頻連續波(FMCW)雷達更具有優勢,然后闡述了調頻連續波(FMCW)雷達測距系統的基本組成原理,再后本文論述了測頻中最常用
2013-01-30 14:32:32
75 節點間測距是無線傳感器網絡中基于距離的定位算法的關鍵技術之一,為了降低節點成本,提高測距精度,提出了采用超聲波非反射式測距技術實現WSN節點的測距。采用實驗室自制的超
2013-04-27 16:40:20
47 針對無線傳感器網絡中經典DV-Hop定位算法第3階段利用多邊測量法計算未知節點位置存在較大誤差的問題,提出了一種改進的粒子群算法來優化求解未知節點坐標。應用粒子群算法,引入自適應慣性權重,并對粒子
2016-01-04 17:16:40
26 基于非正交坐標系下的SVPWM改進算法研究
2016-04-19 14:10:44
7 基于RSSI每跳分級和跳距修正的DV_HOP改進算法_張愛清。
2016-04-28 10:30:27
1 熱點,目標的實時識別與定位是足球機器人在足球賽中精確踢球的前提。文章主要是針對目前足球機器人在視覺系統上所存在的問題進行了顏色模型建立及目標定位算法的改進,加入了目標追蹤算法,確保目標識別與定位的準確。
2016-09-21 11:31:55
52 基于改進果蠅優化算法的雷電定位研究_郭小紅
2016-12-31 14:44:29
0 相位式激光測距儀的改進設計,有需要的下來看看
2017-01-02 19:33:28
61 不錯的參考資料,值得一看。
2017-01-03 18:00:37
1 基于RSSI測距自修正的遺傳定位算法_楊路
2017-01-07 21:28:58
3 無線傳感器網絡節點定位算法的改進_許紅艷
2017-03-15 10:49:58
0 一種改進的虹膜邊界定位算法_汪良會
2017-03-14 17:38:24
5 基于改進APIT算法的無線傳感器網絡節點定位_戴天虹
2017-03-19 19:25:56
0 網絡及多跳路由等;終端設備一般沒有特定的維持網絡結構的責任。ZigBee技術通過這3種設備可以構成一個移動自組織的網絡,廣泛應用在家庭、環境監測、工農業等場合[1]。目前的定位技術總體上可以分為基于測距技術與無需測距技術。前者定位精度較高,后者實現起來比較簡單。在
2017-10-19 11:20:10
3 的低運算復雜度、低誤碼平臺譯碼的改進算法。 該算法校驗節點的運算采用修正最小和算法,外信息的更新采用串行方式,既保持了串行和積算法在有限迭代次數下譯碼門限低的優點,又降低了節點運算復雜度和誤碼平臺。用定點DSP芯片實現的非規則LDPC碼譯碼器的實測結果表明,該算法能以較低的實現復雜度獲
2017-10-20 10:41:11
0 環境在室外1.21。由于上述定位技術的局限性,而射頻識別(Radio Frequency Identification: RFID )技術與有非接觸的特點,所以,RFID 在室內定位得到廣泛應用3-5
2017-10-31 16:08:04
13 結果篩選出粗大誤差,最后再利用剩余的測距信息利用改進的多邊定位方法進行定位運算。仿真結果表明,與原有算法相比,本文算法能有效降低節點定位誤差。
2017-11-09 17:47:13
10 計 (DDS)進行濾波及產生調制信號 ,改進測距儀的濾波與調制手段。實驗結果表明 ,采用文中設計方法搭建的測距系統 ,整體結構和性能均得到了改進 ,數字化與自動化程度提高 ,還增強了測距儀的適用性。 激光測距儀 ,作為非接觸式
2017-11-16 15:57:34
31 方法,通過過濾誤差較大的估計位置,來提高定位的精度,、仿真結果表明,本文提出的改進算法很好地提高了定位精度。 基于信號到達角度的定位算法是一種典型的基于測距的定位算法,通過某些硬件設備感知發射節點信號的到達方向,
2017-11-16 17:37:08
4 的問題。其次,在雙向測距( TWR)算法中增加一條無線電信息以減小時鐘偏移引起的測距誤差,從而提高算法性能。最后,將通過到達時間差( TDOA)定位算法得到的雙曲面方程組進行線性化處理后結合Jacobi迭代法完成求解,避免了使用標準TDOA定位算法
2017-11-28 17:26:51
4 針對現有基于消息傳遞算法的無線網絡節點定位算法復雜度和通信開銷過高的問題,提出一種基于測距的、低復雜度低協作開銷的聯合消息傳遞節點定位算法。所提算法考慮參考節點位置的不確定性以減少誤差累積,并將
2017-12-03 11:36:22
0 (Passive UHF RFID)技術的基礎上,分析和建立了UHF RFID信道模型,并由此對定位誤差進行了分析。基于運用相位法POA進行測距而得到的距離信息,提出了一種兩步式標簽定位算法:首先使用凸優化中的內點法將非視距誤差消除,再使用加權殘差方法進行
2017-12-04 09:57:57
0 針對現有的固定端傳感器土壤墑情監測預測系統架設成本高、傳感器易損壞、預測精度較低等問題,設計并實現了基于非固定無線傳感器組網與改進灰狼算法優化神經網絡的土壤墑情監測預測系統。系統使用非固定即插即用式
2017-12-05 18:26:21
1 針對目前移動無線傳感器網絡定位問題存在的不足,提出了一種基于改進的洪泛廣播機制和粒子濾波的節點定位算法。對于一個給定的未知節點,首先采用改進的洪泛廣播機制,從離它最近的錨節點得到的有效平均跳距來
2017-12-11 15:53:36
0 針對無線傳感器網絡(WSN)中女巫攻擊使距離矢量跳數(DV-HOP)等算法的定位結果產生偏差的問題,提出基于跳數差值的距離矢量跳數算法( HDDV-HOP)及其增強型算法(EHDDV-HOP)。首先
2017-12-20 15:16:25
0 算法,該算法可以有效識別故障支路與非故障支路的偽根情況。進而,提出一種基于非全程同塔雙回線路分段參數的雙端工頻量故障定位算法,該算法將故障支路辨識與故障點定位相結合,在線路全程內均可完成故障定位,不受故障
2018-01-03 10:06:10
0 針對無線傳感器網絡定位中傳統的三邊測距算法,為了降低算法中每個已知節點均具有發射和接收信號能力而造成的高額成本,提出了已知節點單發射多接收的定位模型,并基于該模型提出了橢圓定位算法.該算法通過刻畫
2018-01-05 16:28:13
1 為進一步提高無線傳感器網絡(WSN)中節點的定位精度,提出了一種雙系統協同進化(BCO)算法。改進算法利用粒子群優化(PSO)算法快速收斂的特性和混合蛙跳算法(SFLA)較高的尋優精度的特性,在較少
2018-01-08 16:45:01
0 、變異方面對粒子群算法進行改進,增強算法跳出局部最優的能力,提高迭代后期算法的搜索速度;然后在DV-Hop算法第三階段采用改進粒子群算法優化節點的定位結果。仿真結果表明:相比傳統DV-Hop算法、基于混沌粒子群算法的DV-Hop改進算法(MPS01-DV-Hop)和
2018-01-08 16:47:20
0 無線傳感器網絡的基礎,是必不可少的部分。因此,節點定位技術是當前無線傳感器網絡的一個重要研究課題。 根據定位機制的不同,無線傳感器網絡定位算法可分為基于測距( range-based)的定位算法和免測距(range-free)定位算法。免測距定位算法主要包括質心算法、DV-Hop算法、近似
2018-01-10 14:38:17
1 空間中用于人員定位和環境監測心。建立可靠實用定位算法,對于提高礦井安全生產管理水平有著重要的現實意義。 根據定位機制的不同,可以將WSN定位算法分為基于測距的定位算法( Range-based)和無需測距的定位算法(Range-free),其中基于測距的算法通過測量節點之間的距離或
2018-01-10 15:12:11
2 針對無線傳感器網絡(WSN)中以蒙特卡羅為基礎的移動節點定位算法在采樣效率和定位精度方面的不足,提出一種基于接收信號強度指示( RSSI)測距的蒙特卡羅盒定位(MCB)算法。通過對RSSI測距信息
2018-01-12 15:02:31
0 DV-Hop定位算法利用跳數乘以平均每跳跳距估算節點間距離,針對算法過程存在缺陷導致定位誤差較大的問題,在不改變原算法的步驟,也不需要額外增加硬件設備的條件下,從兩個方面對傳統DV-Hop定位算法
2018-01-16 16:22:52
0 針對DV-Hop定位算法利用跳數乘以平均跳距來估算距離并采用極大似然估計法定位而導致誤差較大的問題,提出一種最優跳距和改進粒子群的DV-Hop算法即OPDV-Hop。該算法利用節點的通信半徑對錨節點
2018-02-02 10:23:45
1 信息,通過一定的定位技術確定網絡中目標節點位置的過程。根據是否需要目標的精確定位信息,定位技術一般分為基于測距(Range-based)和非基于測距(Range-free)兩類。現有的方法一般是基于測距的。 隨著傳感器規模的擴大,目標
2018-02-09 13:58:43
2 數據壓縮為1 bit時,提出半正定松弛和不動點迭代法結合的目標求解算法。根據仿真實驗結果,與MDS-MAP、DV-Hop和RSS-CS方法進行比較得出,僅連通度的非1-bit和1-bit量化的CS定位方法的平均定位誤差小于1個網格,且2種方法占用的比特數只相當于
2018-02-11 11:13:10
0 隨著人口老齡化加劇,智能養老已經成為當前趨勢。為了方便工作人員和家屬獲得老人實時位置信息,對老人進行有效地照護,室內定位成為智能養老院管理系統的重要組成部分。 室內定位主要分為基于非測距與基于測距
2018-04-09 10:46:41
3 無線傳感器網絡(Wireless Sensor Networks)是當前在國際上備受關注的、涉及多學科高度交叉、知識高度集成的前沿熱點研究領域 .對于傳感器網絡來說, 傳感器節點的位置信息至關重要, 事件發生的位置或獲取信息的節點位置是傳感器節點監測消息中所包含的重要信息, 沒有位置信息的監測數據往往毫無意義。
2019-07-26 08:17:00
3500 
無線傳感器網絡是由部署在監測區域內大量的微型傳感器節點(以下稱節點)組成,通過無線通信方式形成的一個多跳自組織網絡系統,從而協作地感知、采集和處理網絡覆蓋區域中感知對象的信息,并發送給觀察者。無線傳感器網絡自身特性決定了其在環境監測、軍事、高危險領域中有著廣泛的應用前景。
2018-12-19 10:36:59
8 針對經典的DV-Hop、Amorphous等免測距無線傳感器網絡( WSN)定位算法信標節點選擇不可靠、距離模糊和距離估計不準確等問題導致定位精度低,難以適應傳感器節點分布不均勻應用的情況,提出
2019-04-18 17:30:04
6 劃分矩形區域,構造權重因子矩陣。首先,使用動態損耗因子,代入傳統加權質心定位算法估算出未知節點的位置;然后,查詢誤差權重因子矩陣,確定最優權重因子,重新計算出未知節點坐標。實驗結果表明,改進的算法降低了平均誤差和最
2019-05-08 17:48:18
3 算法和TDOA定位算法。 (1)TWR定位算法TWR定位算法的全稱是Two Way Ranging,是一種雙向測距定位算法。 (2)TOA定位算法TOA,全稱是Time
2019-11-01 18:55:13
16785 WSN自身定位方法分為基于測距的方法和非基于測距的方法?;?b class="flag-6" style="color: red">測距的定位通過測量相鄰節點之間的絕對距離或方位等來計算未知節點的位置,需要特定的硬件設備,定位精度較高。
2020-03-31 15:43:04
5467 
用于車輛相對定位的測距傳感器和技術可以概括為下圖,首先分為兩大類:非協作式定位和協作式定位。非協作式定位包括:雷達、激光掃描儀、視覺和TOF攝像機;協作式定位包括:基于轉發器的測距(根據射頻信號直接
2020-05-04 17:15:00
3913 定位算法。AOA算法使得藍牙定位的精度能提高到1米以內,將大大擴展藍牙定位系統的適用范圍。 AOA定位算法原理 AOA定位算法又叫到達角度測距(Angle-of-Arrival),是一種基于信號到達角度的定位算法,通過某些基站硬件設備感知發射節點信號的到達方向,計算接收節點
2020-11-11 11:17:32
10699 針對室內到達時差(TDOA)定位的非線性方程求解問題,提出一種改進的哈里斯鷹優化定位算法,在提升原算法性能的基礎上保留其尋優機制。對基于最大似然估計的適應度函數進行改進,在優化過程中達到更優的適應度
2021-03-16 10:54:48
6 必須保持直線和可視無遮擋。在UWB定位中,有兩種基本的定位算法:基于差分飛行時間(TDOA)和雙向測距(TWR)的UWB定位算法,這兩種定位算法各有優劣,下面比較一下。? 飛行時間差(TDOA)和雙向測距(TWR)定位算法區別如下: (1)準確度, 超寬帶(
2021-05-21 17:20:34
7995 為實現復雜網絡的快速分析,提出一種基于聚類質量的改進非負矩陣分解(INMF)算法,將其用于動態社區檢測。從理論分析角度證明了演化譜聚類、INMF和模塊密度優化之間的等價性,并基于該等價性,在不增加
2021-05-25 17:02:42
4 算法的物聯網節點定位改進方法。采用邊界盒算法限制果蠅優化算法定位的初始范圍,同時重構算法的味道濃度函數,選擇合適的測量節點數量以及種群規模,實現算法的動態特性與定位精度的平衡。實驗結果表明與果蠅優化、粒子群
2021-05-26 16:58:16
6 針對目前無線保真定位系統在低于2m的誤差范圍內累計準確率過低的問題,提出一種改進的去異常值的線性判別低維組合算法。根據無線保真信號強度數據的自身特征進行異常值去除,利用線性判別算法在低維情況下進行
2021-05-28 14:12:25
5 針對基亍測距模型的定位算法易受環境干擾、測距誤差大的問題,提出一種基于遺傳算法-廣義回歸神經網絡( GA-GRNN)優化的指紋定位算法。利用GRNN建立節點定位模型,通過GA確定最優平滑參數,將
2021-06-02 17:16:26
2 UWB室內人員定位算法優缺點分析 在使用UWB室內人員定位技術進行定位時,有兩種基本定位算法:基于差分飛行時間TDOA和雙向測距TWR的UWB定位算法,這兩種算法各有優劣,下面銥微云小編將優缺點情況
2021-06-18 15:06:48
2556 在非視距傳輸環境下,粗估計階段接收信號強度(RSS)的特征維度較低會導致定位性能差。針對該問題提出一種基于多維標度(MDS)算法改進的時間反轉二階段室內定位方法。對RSS和信道頻率響應(CFR)分別
2021-06-21 16:16:20
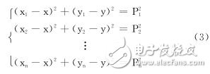
9 人類的掌控;無人駕駛技術更是離不開定位系統的支撐…… 接下來,將向大家介紹一種簡單的定位算法:三邊測距定位算法。 【簡介】 簡單地說,實現定位你只需要做好以下兩點: 測量值 從某種意義上說,幾乎所有你能測量的數據都取決
2021-10-11 15:19:59
6979 
基于剩余能量LEACH協議改進算法
2022-02-10 11:01:23
1 針對存在非視距(non-line-of-sight, NLOS)的室內定位算法進行研究. 首先描述室內定位中的常用技術和算法(航跡推算、指紋識別定位、鄰近探測、極點定位、三角定位、多邊定位、質心定位), 概括其原理、優缺點和適用場景
2022-07-23 10:43:44
1891 
的圖像,利用非極大值抑制改進 LSD算法中直線支撐域的種子點選取方法,實現加快直線檢測速度;然后對檢測得到的直線進行共線篩選合并;最后進行工位點定位。實驗結果表明,改進后的LSD算法在夏比試樣工位點定位用時更短、精度更高,具有較好的工程應用價值。
2022-09-29 11:28:47
1608 UWB100為高精度測距定位解決方案而生,具有極高的測距精度和到達角測量(AOA)精度。同時,UWB100內部集成完整算法,僅通過AT指令配置即可實現與其他UWB設備之間的連接,方便用戶開發。
2022-10-31 14:53:41
2214 到達角度測距(Angle-of-Arrival:AOA):基于信號到達角度的定位算法是典型的、基于測距的定位算法,在無線傳感網絡應用中,AOA(到達角度測距)作為網絡節點自定位一種常見的定位算法
2022-11-18 15:04:06
2555 
在現代工業環境中,隨著自動化技術的迅速發展,準確的測距與定位技術成為了提高生產效率、保障工人安全和優化資源分配的關鍵因素。隨著工業4.0的進一步推進,實時定位系統(RTLS)、激光測距技術、超寬
2024-11-21 15:41:59
1459
評論