摘要:在頻率測量過程中,±1個計數誤差通常是限制頻率測量精度進一步提高的重要原因。在分析±個計數誤差產生原因的基礎上,提出了一種利用被測信號、時鐘基準和測量門限相位的全同步來消除計數誤差的頻率測量方法,給出了基于FPGA實現上述測量方法的實驗原型和實驗對比結果。
頻率測量是電子測量技術中最基本的測量之一。工程中很多測量,如用振弦式方法測量力、時間測量、速度測量、速度控制等,都涉及到頻率測量,或可歸結為頻率測量。頻率測量方法的精度和效能常常決定了這些測量儀表或控制系統的性能。頻率作為一種最基本的物理量,其測量問題等同于時間測量問題,因此頻率測量的意義更加顯然。
常用數字頻率測量方法有M法、T法和M/T法。M法是在給定的閘門時間內測量被測信號的脈沖個數,進行換算得出被測信號的頻率。這種測量方法的測量精度取決于閘門時間和被測信號頻率。當被測信號頻率較低時將產生較大誤差,除非閘門時間取得很大。所以這種方法比較適合測量高頻信號的頻率。T法是通過測量被測信號的周期然后換算出被測信號的頻率。這種測量方法的測量精度取決于被測信號的周期和計時精度,當被測信號頻率較高時,對計時精度的要求就很高。這種方法比較適合測量頻率較低的信號。M/T法具有以上兩種方法的優點,它通過測量被測信號數個周期的時間然后換算得出被測信號的頻率,可兼顧低頻與高頻信號,提高了測量精度。
圖1
但是,M法、T法和M/T法存在±1個字的計數誤差問題:M法存在被測閘門內±1個被測信號的脈沖個數誤差,T法或M/T法也存在±1個字的計時誤差。這個問題成為限制測量精度提高的一個重要原因。本文在以上方法基礎上,提出了一種新的頻率測量方法,該方法利用全同步方法消除限制測量精度提高的±1數字誤差問題,從而使頻率測量的精度和性能大為改善。
1 全同步數字頻率測量方法的原理
M/T法是目前使用比較廣泛的一種頻率測量方法。其核心思想是通過閘門信號與被信號同步,將閘門時間T控制為被測信號周期的整數倍。測量時,先打開參考閘門,當檢測到被測信號脈沖沿到達時開始計時,對標準時鐘計數;參考閘門關閉時,計時器并不立即停止計時,而是待檢測到被測信號脈沖沿到達時才停止計時,完成測量被測信號整數個周期的過程。測量的實際閘門時間與參考閘門時間可能不完全相箱,但最大差值不超過被測信號的一個周期。M/T法測量原理如圖1所示。
圖2
設實際閘門時間為Ts,被測信號周期數為Nx,標準時鐘計時值為Ns,頻率為fs,則被測信號的頻率測量值為:

由于實際閘門時間為Ts為被測信號周期的整數倍,因此Nx是精確的;而對標準時鐘的計量值則存在誤差△Ns(|△Ns|≤1),即標準時鐘計時的真值應為Ns±△Ns。由此可知被測信號的頻率真值為:

若不計標準時鐘的誤差,則測量的相對誤差是:

可以看出,M/T法實際上就是將測量閘門信號與被測信號同步,使得實際測量時間是被測信號周期的整數倍,所以M/T法又稱為多周期同步測量法。M/T法中,相對誤差與被測頻率無關,即對整個測量頻率域等精度測量;對標準時鐘的計數值Ns越大則測量相對誤差越小;提高門限時間Ts和標準時鐘頻率可以提高測量精度;在精度不變的情況下,提高標準時鐘頻率可以縮短門限時間,提高測量速度。
由此可見,對閘門時間Ts的計時誤差△Ns是限制M/T法頻率測量精度進一步提高的主要原因,消除△Ns誤差是提高測量精度的有效手段。全同步頻率測量法則是在參考閘門的控制下,尋找與標準時鐘同步的被測信號,并以此信號作為實際閘門的控制信號,實現實際測量閘門信號、標準時鐘、被測信號全同步,從而消除Nx和Ns測量誤差。
全同步頻率測量法原理如圖2所示。在給出參考閘門信號后,通過一個脈沖同步檢測器檢測被測信號脈沖沿和標準時鐘信號脈沖沿的同步信息,當它們同步就開始計時;參考閘門關閉后,亦檢測被測信號脈沖沿和標準時鐘信號脈沖沿的同步信息,當它們同步則停止計時。
對于任意的標準時鐘和被測信號,要找到兩者脈沖完全同步的時刻來開啟、關閉閘門是不現實的,但有可能找在實現脈沖同步檢測電路時,也存在一個脈沖同步檢測的誤差范圍。若以這個脈沖同步檢測電路檢測到脈沖同步的時刻作為開關信號,可以使得實際閘門的開關發生在標準時鐘和被測信號都足夠接近的時刻,從而達到計算值量化誤差的最小化。
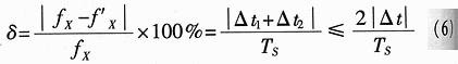
設開啟閘門時脈沖同步時間為△t1,關閉閘門時脈沖同步時間差為△t2,脈沖同步檢測最大時間差值或稱為最大誤差為△t,則有:|△t1|≤△t,| △t2|≤△t。不計標準時鐘誤差,實際閘門與標準時鐘同步,實際閘門時間為Ts,則被測信號的頻率測量值為:

被測信號頻率的真實值可表示為:

頻率測量的相對誤差為:

從(6)式可知,頻率測量的最大相對誤差只與脈沖同步檢測最大時間差值△t和閘門時間Ts有關。將(6)式與(3)式對比可知,標準時鐘周期1/?s和脈沖同步檢測最大時間差值△t分別是M/T法和本文所述的全同步頻率測量法中限制頻率測量精度提高的原因。顯然,控制△t來提高頻率測量精度是有鏟的,而且實現起來比提高標準時鐘頻率更容易。在全同步頻率測量法中,當△t=2.5ns、Ts為1s時,頻率測量相對精度可以達到10 -9量級;或當△t=2.5ns、Ts取0.001s時,可以實現1000次/s、相對精度達到10-6量級的快速動態頻率測量。
2 實驗原形與測試結果
根據上述思想,利用VHDL語言,在基于ALTERA公司EPF10K100ARC240-1 FPGA的硬件平臺上實現了一個全同步數字頻率測量的實驗原形,其原理圖如圖3所示。
系統由控制器、脈沖同步檢測、計數器、頻率換算邏輯、鎖存器和顯示等幾部分組成。其中,脈沖同步檢測是檢測被測信號與標準時鐘是否同步并產生實際閘門控制信號的關鍵部分,其電氣性能直接影響到頻率測量精度。脈沖同步檢測的設計仿真結果如圖4所示。
圖4中,pulse1和pulse2為輸入的標準時鐘和被測信號,gate為輸入的參考閘門信號,output為脈沖同步檢測電路產生的實際閘門信號。所設計電路的脈沖同步檢測最大誤差△t為2.5ns,即pulse1和pulse2的上升沿時間如果相差不大于2.5ns,則檢測為兩脈沖同步;反之,則檢測為兩脈沖不同步。
在相同條件下使用全同步頻率測量法與A/T法進行頻率測量的對比結果如表1所示。系統使用的標準時鐘頻率fs為1.000000MHz,被測信號頻率標稱值為3.68639MHz。
表1 全同步頻率測量法與M/T法的測量對比結果
| 測量編號 | 參考閘門時間(ms) | 全同步頻率測量法 | M/T法 | |||
| 標準時鐘計 數值 | 測量信號計 數值 | 實際閘門時間(ms) | 測量結果(MHz) | 測量結果(MHz) | ||
| 1 | 1 | 963 | 3550 | 0.963 | 3.68639 | 3.687 |
| 2 | 1 | 1014 | 3738 | 1.014 | 3.68639 | 3.687 |
| 3 | 1 | 1014 | 3738 | 1.014 | 3.68639 | 3.686 |
| 4 | 1 | 1014 | 3738 | 1.014 | 3.68639 | 3.687 |
| 5 | 0.01 | 118 | 435 | 0.118 | 3.6864 | 3.7 |
| 6 | 0.01 | 51 | 188 | 0.051 | 3.6862 | 3.7 |
| 7 | 0.01 | 51 | 188 | 0.051 | 3.6862 | 3.7 |
| 8 | 0.01 | 118 | 435 | 0.118 | 3.6864 | 3.6 |
可以看出:閘門時間縮短會影響測量精度,但在同等條件下,全同步頻率測量法的測量精度要高于M/T法;M/T法通過提高標準時鐘頻率或加大門閘門時間來提高頻率測量精度,而全同步頻率測量法可以使用較低標準時鐘頻率、較短閘門時間來獲得較好的頻率測量精度。
本文提出的全同步頻率測量方法可以在較低的標準時鐘頻率、較短的閘門時間條件下顯著提高頻率測量的精度,適用于各種頻率測量場合。本文實現的實驗原型主要是為了對本文方法進行驗證,在實際應用還需要考慮輸入信號波形失真對精度的影響、相位檢測可能出現的極端情況等問題。
一種低g三軸加速度計的傾斜檢測理論和傾斜角測量方法
一種低g三軸加速度計的傾斜檢測理論和傾斜角測量方法
一種基于FPGA的多通道頻率測量系統的實現方法介紹
一種基于梳狀濾波器的固體腔厚度測量方法
一種被飛思卡爾使用的高功率射頻功放的熱測量方法闡述
PWM占空比的測量方法
TMS320F28335在電網頻率測量中的應用
串聯電池電壓及溫度測量方法研究
傳感器測量方法比較
單片機相位差測量方法研究
壓力傳感器的八種測量方法
基于乘法器的模擬電路參數測量方法
干貨:無源晶振的振動頻率測量方法
怎么設計直接數字頻率合成器?
怎樣去設計一種基于51單片機的數字頻率計
怎樣去設計基于單片機的數字頻率計
急求一個關于 數字頻率設計 的Multisim文件。
液晶電視倍頻頻率的測量方法研究
深究諧波測量方法
數字頻率計測頻率的基本原理
525一種內徑尺寸光電非接觸測量方法
43基于FPGA的數字頻率計的設計與實現
193基于增量模型的變極性測量方法的研究和應用
19一種基于PLC開關量輸入單元的轉速信號測量方法
44一種實用的注氣鍋爐熱效率在線測量方法
11一種基于自適應分頻的頻率測量方法及其實現
22一種基于PLC開關量輸入單元的轉速信號測量方法
31基于FPGA的直接數字頻率合成器的設計
61基于FPGA的同步測周期高精度數字頻率計的設計
2265
新型晶圓級1/f噪聲測量方法研究與設計
1801
一種新的矢量測量法
1965
一種高性價比等精度數字頻率計方案設計
2618
基于單片機的數字頻率計的方案
6749
基于SystemView的數字頻率合成器的設計
2670
光信號同步的間接測量方法和結構
1207
放大直接數字頻率合成的DAC選型器應用
45數字頻率計
940設計簡易數字頻率計
1214低功耗直接數字頻率合成器的設計
38頻率測量研究綜述
52鎖相環同步采樣諧波測量方法
100對群延遲測量方法的研究
21一種基于DDS的高速定時同步方法
2350
一種電子元器件的簡易測量方法
85數字頻率計的制作
172基于verilog語言的數字頻率計設計
0大學數字頻率計課程設計報告
69頻率測量的兩種方法及等精度測量原理及實現
112730
電力系統頻率測量方法及應用
1新型全數字頻率傳遞方法數學模型及算法研究
0基于單片機簡易數字頻率計設計方案匯總
33751
基于FPGA自適應數字頻率計的設計
7198
一種改進的飛行器小目標姿態測量方法
9基于單片機的數字頻率計設計
32數字頻率合成器的作用
1649基于MCU+CPLD的相位差和頻率的測量方法研究及實現
2037數字頻率和模擬頻率的關系
9352微波數字頻率計的基本工作原理是什么?
1641高頻電流探頭的兩種測量方法的過程與特點分析
1614電阻的測量方法有哪些
6450直接數字頻率合成(DDS)技術的原理及優勢
6266數字示波器的測量方法有哪三種
3788FPGA頻率測量的三種方法
1291
電子發燒友App





評論