隨著電動汽車的發展,功率MOS管在汽車電子的應用也日益增多,本文就車載OBC中全橋變換器功率MOS管應用及注意事項做簡單記要。
2025-10-21 11:24:56
5195 
本文詳細分析了Buck型AC/AC交流變換器的工作原理及其控制策略。該變換器兩對交流開關管高頻互補開通,當占空比為常數時,其輸出電壓和輸入電壓的相位相同,但幅值不大于輸入電壓
2012-01-18 11:42:54
31126 
在buck變換器開關與負載之間插入隔離變壓器,這種隔離型buck變換器叫做Forward單端正激變換器。
2022-12-01 17:29:05
6277 
Buck變換器的輸出電容是整個Buck電路重要的組成部分,輸出電容的作用就是將輸出電壓穩定在期望的電壓值,減少電壓的波動。
2022-12-29 09:22:15
6701 Buck變換器又稱降壓變換器、串聯開關穩壓電源、三端開關型降壓穩壓器。學過電子的應該都知道,如何從一個電壓(高)得到自己想要的電壓值(低),可能最簡單的方式就是通過電阻分壓,如下面的方式。
2023-06-26 09:06:24
1300 
BUCK變換器
2012-08-14 13:05:11
右SmartyPants創建一個自定義列表如何創建一個注腳注釋也是必不可少的KaTeX數學公式新的甘特圖功能,豐富你的文章UML 圖表FLowchart流程圖導出與導入導出導入1.前言在DCDC變換器中BUCK變換器是最基礎的一類降壓型變換器,它可以將輸入電壓新的改變我們對Markdown編輯器進
2021-12-30 07:15:00
的BUCK,主要采用PSIM仿真,適用于需要設計此變換器的課設同學。一、設計指標及要求BUCK變換器有關指標為: 輸入電壓:標稱直流48V,范圍: 43V~53V 輸出電壓:直流25V, 4A 輸出電壓紋波: 100mV 電流紋波: 0.25A 開關頻率: 250kHz
2021-11-16 07:22:02
BUCK型DC-DC變換器的建模與仿真摘要1 文獻調研1.1 研究背景1.2 Buck電路的應用場合2 原理分析2.1 模型介紹2.2 模型分析2.3 頻域和時域響應2.4 參數指標要求3 參數
2021-06-30 08:14:09
1.前言在DCDC變換器中BUCK變換器是最基礎的一類降壓型變換器,它可以將輸入電壓降低后輸出。在連續模式CCM下,輸出和輸入之間的比值是D(D為占空比)。這種開關變換器是一種通過電子開關周期分合
2021-10-29 07:26:40
Buck-Boost變換器:既可以升壓又可以降壓,其簡單電路組成如下其中的器件和Buck電路完全一致,只是開關SW,二極管和電感的位置發生了改變Buck-Boost變換器輸出的是相對地的負壓假設當前
2021-10-29 09:14:37
Buck變換器TC2575欠壓鎖定電路的典型應用。 TC2575系列穩壓器是單片集成電路,非常適合簡單方便地設計降壓型開關穩壓器(降壓轉換器)。該系列的所有電路均能夠驅動1.0A負載,具有出色的線路和負載調節性能。這些器件提供3.3V,5V,12V的固定輸出電壓和可調輸出版本
2019-05-08 09:37:35
一、Buck變換器(降壓型)CCM (ContinuousConduction Mode),連續導通模式:在一個開關周期內,電感電流從不會到0。或者說電感從不“復位”,意味著在開關周期內電感磁通從不
2021-11-16 07:00:12
一、Buck變換器另外三種叫法 1.降壓變換器:輸出電壓小于輸入電壓。 2.串聯開關穩壓電源:單刀雙擲開關(晶體管)串聯于輸入與輸出之間。 3.三端開關型降壓穩壓電源: 1)輸入與輸出
2023-03-15 16:20:45
Buck變換器也稱降壓式變換器,是一種輸出電壓小于輸入電壓的單管不隔離直流變換器。圖中,Q為開關管,其驅動電壓一般為PWM(Pulse、width、modulation脈寬調制)信號,信號周期為Ts
2021-03-18 09:28:25
變換器拓撲是buck級聯推挽,后級推挽開環控制,前級buck采用閉環控制,在進行小信號建模的時候,buck電路的輸出阻抗可以直接按照它輸出的電流電壓計算得到的電阻算,還是要等效為后級推挽的輸入阻抗呢
2020-11-17 19:36:57
汽車電腦板的維修有哪些注意事項?
2021-11-11 07:41:17
變換器工作在高效率的單管模式時,升、降壓模態的平滑切換問題。以Boost-Buck變換器為研究對象,設計了一種控制策略實現外特性要求。同時分析了模態過渡問題產生的原因,給出加入雙管降頻工作區間
2019-06-03 05:00:03
上一節提到的開關電源的系統框圖中,DC-DC變換器是其中一個重要的組成部分DC-DC變換器最基礎的主要有三種:Buck變換器,Boost變換器和Buck-Boost變換器Buck變換器:即降壓變換器
2021-10-29 06:52:05
前言DC-DC變換器的應用場景為:移動電子設備供電。其中包括,DC/DC開關電源與LDO線性電源。高興LED電源。功率優化器。如功率跟蹤器。與高頻變壓器結合。分類主要分為隔離性與非隔離型,其中從
2021-11-17 06:54:16
DCDC降壓型BUCK變換器應用于汽車電子系統中會出現哪些問題?DCDC降壓型BUCK變換器應用于汽車電子系統中的設計技巧有哪些?
2021-07-28 07:36:25
用LT1766組成非絕緣型降壓變換器時,如附圖所示那樣外接元件數量很少。具有電路簡單、成本低廉的優點。電路的振蕩頻率固定為 200kHz。為了能在噪聲較大的環境中使用,電路還附加了有效的同步功能
2021-05-12 07:51:37
ZCS-PWM Buck變換器的工作原理是什么?與功率場效應管(MOSFET)相比,絕緣柵雙極晶體管有什么優點?通過Saber仿真軟件對新型ZCS PWM Buck變換器進行的仿真分析如何?
2021-04-07 07:02:40
問題三:電壓模式控制下的降壓變換器是什么?
答案:
在第73頁,電壓模式降壓變換器,
第一個例子以一個100KHz的降壓(Buck)變換器的SIMPLIS應用電路為起點,該變換器從12V輸入電壓
2025-08-06 10:35:38
【「開關電源控制環路設計:Christophe Basso 的實戰秘籍」閱讀體驗】+ 問題四:電流模式控制下的降壓變換器是什么?
電流模式降壓變壓器
Buck變換器現在運行在CM控制下,并通過
2025-08-07 11:17:19
本章作者講解了降壓變換器
一、電壓模式降壓變換器
1、功率級和補償
VM控制下的連續導通模式(CCM)BUCK變換器的控制到輸出傳遞函數:
2、環路增益補償
3、瞬時響應
上面步驟完成后
2025-08-19 21:38:47
Buck變換器的設計與仿真
2015-05-25 09:58:25
電子系統的一些應用中由于輸入電壓的變化,電源的輸出可能低于輸入電壓也可能高于輸入電壓,對于非隔離的電源變換器,這時候要采用升降壓的拓樸結構。常用的升降壓拓樸結構SEPIC需要二個電壓,中間還需要耦合
2019-09-16 10:36:34
的基本操作可能顯得嚇人,設計選擇很多,特別是那些以前沒有設計過的人。讓我們來看看在5A連續導通模式(CCM)回掃時,53 VDC到12V的一些關鍵設計注意事項。圖1顯示了一個詳細的60W反激原理圖
2020-01-09 11:25:10
基于pwm的buck變換器電路的開環實驗怎么做?是使用信號發生器給電路送pwm信號嗎?還是其他方法?我是個新手,只懂些理論不會實踐,還請大佬不吝賜教,感謝!
2020-09-14 19:42:55
控制下的雙路輸出降壓變換器兩種不同的PCB布局,可以看出,U型布局的EMI性能優于I型布局。欲了解更多信息,請參見TI官網應用報告“How SYNC Logic Affects EMI Performance for Dual-Channel Buck Converters
2019-03-13 06:45:01
Buck變換器是什么?怎樣使用MC34063芯片來實現Buck降壓電路呢?
2021-10-29 06:53:39
用于Buck變換器的TC2574欠壓鎖定電路的典型應用。 TC2574系列穩壓器是單片集成電路,非常適合簡單方便地設計降壓型開關穩壓器(降壓轉換器)。該系列的所有電路均能夠驅動0.5A負載,具有出色的線路和負載調節性能。這些器件提供3.3V,5V,12V的固定輸出電壓和可調輸出版本
2019-05-31 07:41:44
電容降壓的原理及注意事項有哪些
2021-03-11 08:19:44
BUCK:降壓變換器BOOST:升壓變換器BUCK-BOOST:升降壓開關電源FLYBACK:就是反激式隔離電源CCM:continuous conduct mode 電感電流聯系DCM:discrete conduct mode電感電流斷續VMC:voltage mode
2021-10-29 08:15:07
電源設計工程師通常在汽車系統中使用一些DC/DC降壓變換器來為多個電源軌提供支持。然而,在選擇這些類型的降壓轉換器時需要考慮幾個因素。例如,一方面需要為汽車信息娛樂系統/主機單元選擇高開關頻率DC
2020-10-21 12:46:33
電源設計工程師通常在汽車系統中使用一些DC/DC降壓變換器來為多個電源軌提供支持。然而,在選擇這些類型的降壓轉換器時需要考慮幾個因素。例如,一方面需要為汽車信息娛樂系統/主機單元選擇高開關頻率DC
2019-07-31 07:32:52
BUCK變換器輕載時三種工作模式原理及應用:降壓型Buck 變換器在輕載有三種工作模式:突發模式、跳脈沖模式和強迫連續模式。文中詳細的闡述了這三種模式的工作原理,同時介紹了
2009-10-27 22:52:13
76 3.1概述3.2直流-直流降壓變換器(BUCK變換器)3.3直流-直流升壓變換器(BOOST變換器)3.4直流降壓-升壓變換器(BUCK-BOOST變換器)3.5直流升壓-降壓變換器(CUK變換器)3.6
2010-03-03 22:31:21
9 使用方法和注意事項,對于保障工程質量和提高工作效率具有重要意義。下面我們就介紹傾角儀使用的5大注意事項。 1、安裝位置:保證傾角儀的安裝面與被測物體的安裝面
2024-03-28 15:24:56
非隔離型開關變換器詳細介紹
降壓變換器Buck電路:降壓斬波器,入出極性相同。由于穩態時,電感充放電伏秒積相等,因此:(Ui-Uo)*ton=Uo*toff, Ui*ton-Uo*t
2009-05-12 20:51:20
2223 
逆向變換器電壓關系與Buck-Boost電路拓補結構
Buck-Boost電路:升/降壓斬波
2009-05-12 20:53:44
2448 
非隔離型DC-DC變換器的布線注意事項
摘要:多年來不斷涌現的集成DC-DC電源控制器提供了越來越好的性能。使產品設計人員從繁重的電源設計中解脫
2009-05-13 08:37:59
2567 
Buck變換器參數辨識的分析
構建了Buck變換器參數辨識的方法。通過檢測電感電流和輸出電壓的波形信號,可辨識出電路的濾波電感、濾波電容及其等
2009-06-30 20:28:59
1771 
Buck變換器的EMC分析
摘要:通過對Buck變換器電路的EMC分析,說明了電磁兼容中濾波、接地、緩沖以及合理的PCB設計等技術在開關電源中的應用。
關鍵詞:開關電
2009-07-04 10:45:01
3076 
降壓型變換器的分叉及其混沌行為的研究
DC/DC變換器運行中產生大量的非線性現象,主要是功率器件開關引起的[1]。已有研究表明,在DC/DC開關變換器實際運行中,
2009-07-06 18:35:44
871 
Buck-boost變換器
2009-09-23 18:32:30
2188 
晶體管開關變換器(buck)電路
如圖是晶體管開關變換器(BUCK)電路,其中晶體管Q為
2009-09-23 18:37:51
2376 
采用Buck變換器的LED驅動器反饋環路設計及測試
目前,基于降壓型Buck變換器的LED驅動器廣泛應用于通用的照明系統,如一些樓宇和草地的照明,通常使
2009-12-30 15:07:51
2409 
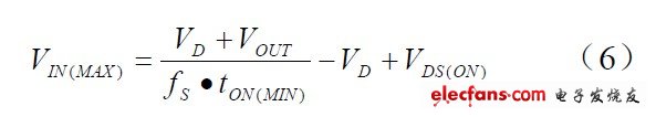
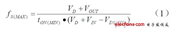
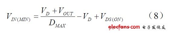
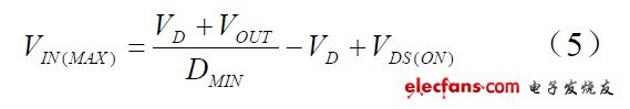
目前高頻高效的DCDC 變換器在汽車電子系統中的應用越來越多。本文主要針對DCDC 降壓型BUCK 變換器應用于汽車電子系統時,探討包括上述問題在內的一些設計技藝和注意事項,而且這些
2012-10-29 09:45:26
1983 
直流變換器一般具有非線性、多模態等特點。Buck-Boost變換器的建模是其閉環控制設計的關鍵,對于Buck-Boost變換器輸出可靠的電壓和良好的動態響應特性具有非常重要的影響。本文是在
2016-01-04 15:10:49
71 Buck-Boost變換器原理升壓降壓原理
2016-04-28 16:59:59
160 本文提出一種 Bw k三電平變換器,該變換器中開關管的電壓應力為輸人電壓的一半,采用交錯控制方式,可以大大減小輸出濾波器的大小。 本文詳細分析 Buck 三電平變換器的工作原理,分析該變換器的輸人輸出特性,討論主要參數的設計,提出一種使輸人分壓電容電壓均衡的方法,并進行實驗驗證。
2016-05-10 14:24:39
8 降壓型功率變換器LM2596的原理及應用
2017-09-12 08:59:33
10 本文主要介紹通過TL431構成的自激式Buck變換器,Buck變換器也稱降壓型變換器。在這個自激式DC-DC降壓電路中,TL431不僅作為基準源,而且作為自激振蕩的有源器件。
2017-12-13 10:51:00
15449 
Buck 變換器的CCM等效電源平均電路模型
2017-12-19 15:25:12
10 本文為大家介紹buck變換器的傳遞函數。
2018-01-10 08:51:08
20925 
Buck變換器由功率級和反饋控制電路組成,功率級包括功率開關和輸出濾波器,它將高輸入電壓變換到低的輸出電壓,反饋控制電路通過調制功率開關的占空比調節輸出電壓。本文對buck變換器峰值電流進行分析。
2018-01-10 09:52:29
7780 
本文為大家帶來buck變換器設計介紹。
2018-01-10 10:46:28
9458 
BUCK 電路是一種降壓斬波器,降壓變換器輸出電壓平均值UO 總是小于輸入電壓Ui。通常電感中的電流是否連續,取決于開關頻率、濾波電感L 和電容C 的數值。
2018-01-10 11:16:22
15671 
BUCK變換器在一些大功率的開關電源電路設計中,是非常常見的設計元件之一,其本身具有高轉化率、高適應性等優勢,能夠為工程師的產品設計研發帶來極大幫助。本文教大家自制buck變換器。
2018-01-10 11:37:32
4841 
本文介紹了buck變換器工作原理_Buck變換器的降壓原理分析。Buck變換器主要包括:開關元件,二極管,電感,電容和反饋環路。而一般的反饋環路由四部分組成:采樣網絡,誤差放大器,脈寬調制器PWM
2018-01-10 17:00:33
68668 
本文主要介紹了buck變換器的濾波電容電感怎么選取及用法。選擇Buck變換器電感的主要依據是變換器輸出電流的大小。當Buck變換器的輸出電流等于maxoI時,仍然要保證電感工作在非飽和狀態,這樣電感值才能維持恒定不變。電感值1L的恒定確保了電感上的電流線性上升和下降。
2018-01-10 17:17:47
32606 
本文介紹了非理想buck變換器模型。運用能量守恒原理將非理想型Buck變換器進行理想化轉換;然后,就轉換后的電路根據開關網絡平均模型法建立平均變量模型,從而得到Buck變換器的大信號平均等效電路、直流等效電路和交流小信號等效電路,進而進行穩態和動態小信號特性分析。
2018-01-10 18:30:56
20147 
對于反饋模式的選擇,此前采用經驗的方法,依據電源轉換方案和參數預估,選擇Buck型變換器的反饋模式,這種方法沒有綜合考慮傳輸路徑阻抗、芯片對供電電壓容忍度等因素。
2018-03-14 09:18:35
16867 
Buck變換器另外三種叫法1.降壓變換器:輸出電壓小于輸入電壓。2.串聯開關穩壓電源:單刀雙擲開關(晶體管)串聯于輸入與輸出之間。3.三端開關型降壓穩壓電源:1)輸入與輸出的一根線是公用的。2)輸出電壓小于輸入電壓。
2018-04-10 16:37:52
7 4降壓/升壓變換器
2018-08-14 00:18:00
4996 新一代Fly-buck變換器及同步升壓降壓控制器的介紹 (1)
2019-04-28 06:15:00
4326 
作為一種基本的DC/DC降壓式變換電路, Buck變換器被廣泛應用于電機的無級變速與控制。本文基于PSpice 軟件,對Buck變換器進行參數仿真,對其功耗分析和吸收電路設計方面進行電路仿真。形象化
2019-08-28 17:46:27
28 實際的應用中,很多降壓型BUCK變換器,通常要利用連接到相應管腳的大片PCB銅皮來散熱:單芯片的BUCK電源IC,主要利用IC的GND管腳,焊接到PCB的GND銅皮來散熱;部分內部封裝分立
2020-10-15 15:02:43
3025 
基于Buck-Boost的非隔離型雙向半橋DCDC變換器結構上比起隔離型的雙向DCDC變換器結構簡單,沒有變壓器,功率開關器件數目相對較少,操控方式較容易,通過全控型開關器件的反并聯二極管最終實現
2021-03-01 12:06:46
26673 變換器是常用器件,電子相關專業的朋友對變換器通常較為了解。為進一步增進大家對變換器的認識,本文將基于兩點介紹變換器:1.何為諧振變換器,2.理想/非理想buck變換器模型介紹。如果你對變換器抑或本文內容具有興趣,不妨繼續往下閱讀哦。
2020-11-07 11:30:37
11594 
對于變換器,大家自然較為熟悉。為增進大家對變換器的認識,本文將對buck變換器進行全面講解。本文中,你將學到buck變換器的工作原理、buck變換器的降壓原理、buck變換器的工作過程以及如何進行buck變換器設計。如果你對變換器具有興趣,不妨繼續往下閱讀哦。
2020-11-07 11:30:33
6798 
本文檔的主要內容詳細介紹的是Buck變換器的工作原理與設計的學習課件免費下載包括了:Buck變換器的工作原理,Buck變換器的主電路設計,Buck變換器的建模,Buck變換器的補償網絡設計
2020-12-07 08:00:00
39 熱增強型鉛塑封裝的應用注意事項
2021-05-14 14:34:48
5 降壓型Buck變換器在輕載有三種工作模式:突發模式、跳脈沖模式和強迫連續模式。下面將詳細的闡述了這三種模式的工作作原理及其它們的優點及缺點。在實際的應用中,應該根據系統對輸出紋波和效率的具體要求來選取相應的工作模式。
2021-06-09 17:20:30
4 Buck變換器的DCM穩態關系說明。
2021-06-10 16:29:30
17 Buck變換器中的直流濾波電感設計公式分享下載。
2021-06-19 14:57:24
34 XL7015-降壓型直流電源變換器芯片(新型電源技術作業答案)-XL7015-降壓型直流電源變換器芯片,有需要的可以參考!
2021-09-15 15:10:33
21 上一節提到的開關電源的系統框圖中,DC-DC變換器是其中一個重要的組成部分DC-DC變換器最基礎的主要有三種:Buck變換器,Boost變換器和Buck-Boost變換器Buck變換器:即降壓變換器
2021-10-22 10:36:03
9 1.前言在DCDC變換器中BUCK變換器是最基礎的一類降壓型變換器,它可以將輸入電壓降低后輸出。在連續模式CCM下,輸出和輸入之間的比值是D(D為占空比)。這種開關變換器是一種通過電子開關周期分合
2021-10-22 18:51:08
10 ??我們仍然使用MC34063芯片,來設計一個DC-DC降壓電路,實現直流12V轉5V。Buck變換器??Buck變換器是開關電源基本拓撲結構的一種,Buck變換器又稱為降壓變換器,是一種對輸入電壓
2021-11-06 14:36:00
30 降壓式DC/DC變換器,簡稱降壓式變換器,英文為BuckConverter,也稱Buck變換器,是最常用的DC/DC變換器之一。降壓式變換器能將較高的直流電壓變換成較低的直流電壓,例如將24V電壓變換成12V或5V電壓。降壓式變換器的損耗很小,效率很高,應用領域十分廣泛。
2022-08-16 15:15:59
6738 
COFT控制模式的Buck LED驅動芯片中 COFF的配置和注意事項
2022-10-28 11:59:57
0 實際的應用中,很多降壓型BUCK變換器,通常要利用連接到相應管腳的大片PCB銅皮來散熱:單芯片的BUCK電源IC,主要利用IC的GND管腳,焊接到PCB的GND銅皮來散熱;部分內部封裝分立
2023-02-16 11:00:19
882 
1 Buck 變換器的功率器件設計公式 (1):Buck 變換器的電路圖: (2):Buck 變換器的主要穩態規格: (3):功率器件的穩態應力: -- 有源開關 S: -- 無源開關 D: 上述
2023-06-26 10:06:01
1840 
降壓式DC/DC變換器,簡稱降壓式變換器,英文為BuckConverter,也稱Buck變換器,是最常用的DC/DC變換器之一。降壓式變換器能將較高的直流電壓變換成較低的直流電壓,例如將24V電壓變換成12V或5V電壓。降壓式變換器的損耗很小,效率很高,應用領域十分廣泛。
2023-07-10 18:29:56
5039 
首先放一張BUCK變換器的基本電路圖。
2023-09-21 16:39:38
15063 
基于Buck變換器Matlab閉環仿真
2023-09-28 16:44:34
5820 
電子發燒友網站提供《電壓反饋型BUCK變換器的環路補償設計.pdf》資料免費下載
2023-11-01 09:18:56
8 Buck變換器,也稱為降壓轉換器或步進電壓降壓器,是一種重要的電力電子設備,用于將直流電壓轉換為較低的直流電壓。其工作原理基于電感儲能和電磁感應的基本原理,通過周期性地開關電路中的元件來實現電壓的降低。
2024-07-16 17:14:51
5189 Buck-Boost型變換器,也稱為Buck-Boost轉換器或升降壓變換器,是一種特殊的直流-直流(DC-DC)轉換器,其顯著特點在于其輸出電壓既可以高于輸入電壓,也可以低于輸入電壓。這種變換器在
2024-08-14 11:53:30
6014 優化Buck-Boost型變換器的性能是一個綜合性的任務,涉及電路設計、元件選擇、控制策略、保護機制等多個方面。以下將從這些方面詳細闡述如何優化Buck-Boost型變換器的性能。
2024-08-14 14:09:00
2048 Buck-Boost型變換器作為一種常見的直流-直流變換電路拓撲,廣泛應用于電源管理系統中,能夠實現電壓的升壓、降壓以及反向電壓轉換。由于其廣泛的應用場景,如手機、汽車、嵌入式系統以及儲能系統等,其
2024-08-14 17:22:44
2667 電子發燒友網站提供《關于降壓轉換器中啟動電阻器的設計注意事項.pdf》資料免費下載
2024-09-06 11:29:25
0 設備、電動汽車、太陽能發電系統、電信設備等領域。 1. Buck變換器(降壓變換器) Buck變換器是一種最基本的DC-DC變換器,其主要功能是將輸入的高電壓轉換為較低的輸出電壓。Buck變換器的電路結構簡單,主要由一個開關元件(如MOSFET)、一個電感、一個電
2024-09-30 16:25:56
1700
評論