數字濾波器的濾波效果良好。通過SignalCompiler把模型轉換成VHDL語言加入到FPGA的硬件設計中,從QuartusⅡ軟件中的虛擬邏輯分析工具SignalTapⅡ中得到數字濾波器實時的結果波形圖,結果符合預期。
2013-10-08 13:39:06
10639 
本文簡要介紹了FIR數字濾波器的結構特點和基本原理,提出基于FPGA和DSP Builder的FIR數字濾波器的基本設計流程和實現方案。##FIR 數字濾波器的詳細設計。
2014-07-24 15:30:05
9476 
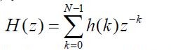
IIR數字濾波器在很多領域中都有著廣闊的應用。與FIR數字濾波器相比,IIR數字濾波器可以用較低的階數獲得較高的選擇性,而且所用存儲單元少,經濟效率高。一個N階IIR數字濾波器的系統函數為:
2020-07-23 17:05:08
3619 
、信噪比、無可比擬的可靠性。 FIR,IIR是數字濾波器中最常見的兩種濾波器。FIR濾波器是有限沖擊響應,最主要特點是沒有反饋回路,故不存在不穩定的問題,很容易做到嚴格的線性相位特性,另外設計方式是線性的,硬件容易實現,對于
2020-11-08 16:31:00
7332 
本人在做基于Labview的FIR數字濾波器畢設,但是沒有學習過Labview,純新手,求速成的關于這方面的教程,先謝謝了。
2012-05-03 22:39:36
頻率響應特性可分為低通、高通、帶通、帶阻等類型。與模擬濾波器相比,數字濾波器除了具有數字信號處理固有優點外,還有精度高、穩定性好、靈活性強等優點。FIR濾波器具有線性相位,但它的傳遞函數的極點固定在原點
2021-08-08 07:00:00
本帖最后由 mr.pengyongche 于 2013-4-30 03:08 編輯
FIR數字濾波器設
2013-02-18 15:17:18
本文將簡單介紹另一種數字濾波器——IIR濾波器的原理,詳細介紹使用Verilog HDL設計直接型IIR濾波器的方法。數字濾波器數字濾波器從實現結構上劃分,有FIR和IIR兩種。FIR的特點是:線性
2020-09-27 09:22:58
本帖最后由 武漢購線網 于 2017-11-10 16:51 編輯
數字濾波器的分類:數字濾波器http://www.gooxian.com/product_detail-9722.htm
2017-11-10 16:41:59
數字濾波器的分類:數字濾波器的種類很多,分類方法也不同,可以從功能上分,也可以從實現方法上分,還可以從設計方法上來分等。一種比較通用的分類方法是將數字濾波器分為兩大類,即經典濾波器和現代濾波器。經典
2017-05-25 09:27:52
本帖最后由 eehome 于 2013-1-5 10:01 編輯
IIR數字濾波器的Matlab和FPGA實現
2012-08-20 22:16:49
微機保護和二次控制中,很多信號的處理與分析是基于基波和某些整次諧波的,因此,濾波器一直是電力系統二次裝置中的關鍵部件。目前,微機保護和二次信號處理軟件主要采用數字濾波器。傳統的數字濾波器設計使用繁瑣
2019-07-26 05:30:00
請教各位大師,quartus ii 中調用fir數字濾波器IP核,可不知道如何設置參數,比如如何設置濾波器的系數
2013-11-23 20:54:41
您有沒有想過Σ-Δ模數轉換器(ADC)如何才能在不同帶寬下獲得如此高的分辨率?秘訣就在于數字濾波器。Σ-Δ ADC之所以與其他類型的數據轉換器不同,是因為它們通常集成有數字濾波器。本系列博文分為三部
2018-08-30 15:05:47
通過數字濾波器可以獲得很窄的帶寬。和模擬濾波器相比,理想的高斯濾波器可以實 現。數字濾波器在可接受的價格內有更好的選擇性,如5級電路模擬濾波器的形狀因 子為10,高斯濾波器為4.6。另外,數字濾波器
2017-10-13 09:22:59
FIR數字濾波器能夠滿足濾波器對幅度和相位特性的嚴格要求,避免模擬濾波器的溫漂和噪聲等問題,具有精確的線性相位、易于硬件實現和系統穩定等優點,可廣泛應用于現代電子通信系統。實際信號處理應用往往要求
2019-11-04 08:08:24
基于DSP的FIR 數字濾波器設計基于DSP 的FIR 數字濾波器的設計陳永泰,李蕾武漢理工大學信息工程學院,武漢(430070)E-mail:ultralilei@gmail.com摘 要
2008-05-14 23:30:12
基于FPGA的FIR數字濾波器的優化設計
2012-08-17 23:55:09
(FIR)濾波器和無限脈沖響應(IIR)濾波器兩種。其中FIR數字濾波器具有嚴格的線性相位,而且非遞歸結構也保證了運算的穩定性。
2019-09-29 07:45:43
本帖最后由 mr.pengyongche 于 2013-4-30 02:23 編輯
基于dsp的FIR低通數字濾波器器設
2012-12-26 15:29:12
基于頻率抽樣法的FIR高通數字濾波器的設計
2012-08-20 23:21:35
請教一下,如何利用CPLD去實現FIR數字濾波器?
2021-04-28 06:24:06
在信息信號處理過程中,如對信號的過濾、檢測、預測等,,都要使用到濾波器,數字濾波器是數字信號處理中使用最廣泛的一種方法,常用的數字濾波器有無限長單位脈沖響應(IIR)濾波器和有限長單位脈沖響應(FIR)濾波器兩種。
2019-10-11 07:45:21
實現數字濾波器的方法有哪幾種?IIR數字濾波器的設計具體步驟是怎樣的?
2021-05-31 06:30:58
怎么實現基于PSO的FIR數字濾波器設計?
2021-05-14 06:49:00
數字濾波器是什么?基于LabVIEW的數字濾波器的設計實例有哪些?
2021-05-07 07:14:49
要做畢設,用proteus仿真,單片機實現的fir數字濾波器,我已經用matlab設計出來了fir濾波器的系數,怎么用單片機語言實現,還有用proteus仿真?求大神們指導啊,馬上就答辯了,還沒有做出來仿真。
2014-05-22 11:27:55
濾波器的MATLAB怎么去設計?編寫VHDL語言代碼有哪些注意事項?一般IIR數字濾波器該怎么去設計?以低通濾波器為例,請問如何去設計IIR數字濾波器?
2021-04-14 06:22:37
一階IIR數字濾波器時域濾波效果模擬tzl1963摘要- 供初學如何設計實際的數字濾波器參考。一,基本概念FIR Filter-有限長單位脈沖響應濾波器,傳遞函數:Σ−=ͨ
2008-08-01 16:58:09
27
數字濾波器
2008-08-26 19:29:38
24 數字濾波器的基本結構:數字濾波器結構的表示方法一. 數字濾波器的概念1.濾波器:指對輸入信號起濾波作用的裝置。2、當輸入、輸出是離散信號,濾波器的沖激響應是單
2008-12-07 12:10:35
14 :數字濾波在數字信號處理中占有極其重要的地位,并且被廣泛應用。研究了在Madal〕環境下FIR數字濾波器的設計方法以及FIR濾波器在信號去噪方面的應用。Matlab因其強大的數據處
2009-01-06 17:05:03
30 數字網絡的信號流圖表示 IIR數字濾波器的結構 FIR數字濾波器的結構數字濾波器的格形結構信號流圖的基本概念1、定義:信號流圖是一種有向圖,它用帶箭頭
2009-01-07 10:24:51
30 熟悉濾波器的基本概念 了解濾波器的分類 熟悉應用matlab設計各種濾波器的方法[數字濾波器] 如果濾波器的輸入、輸出
2009-01-07 10:37:59
22 以窗函數法設計線性相位FIR 數字濾波器為例,介紹用MATLAB 工具軟件設計數字濾波器的方法和在定點D S P 上的實現。實現時,先在C C S 5 0 0 0 仿真開發, 然后將程序加載到TMS320VC5409
2009-04-16 09:39:16
42 以窗函數法設計線性相位FIR 數字濾波器為例,介紹用MATLAB 工具軟件設計數字濾波器的方法和在定點D S P 上的實現。實現時,先在C C S 5 0 0 0 仿真開發, 然后將程序加載到TMS320VC5409
2009-05-15 14:30:40
39 有限長單位沖激響應FIR數字濾波器的設計方法一、IIR濾波器的優缺點二、FIR DF 優點FIR濾波器在保證幅度特性滿足技術要求的同時,很容易做到有嚴格的線性相位特性。
2009-07-25 11:47:37
40 LabVIEW 是圖形化虛擬儀器編程語言,它具有強大的數字信號處理功能。本文介紹了基于LabVIEW 的數字濾波器的設計,它集FIR 和IIR 濾波器于一身,并且FIR 濾波器的窗函數、IIR 濾波器的
2009-08-29 10:45:48
412 本章介紹數字濾波器的原理及其設計。數字濾波器的設計是數字系統綜合的問題之一。所謂數字系統的綜合(synthesis)就是給出設計指標的情況下,設計一個系統使之滿足設計指標
2009-11-24 09:13:25
128 以窗函數法設計線性相位FIR 數字濾波器為例,介紹用MATLAB 工具軟件設計數字濾波器的方法和在定點DSP 上的實現。給出了基于TMS320VC5416 的實現程序,并將其加載到實驗板上實時運
2009-11-27 11:11:09
48 分析了FIR數字濾波器的基本原理,在MATLAB環境下利用窗函數設計FIR低通濾波器,實現了FIR低通濾波器的設計仿真。將設計的符合要求的濾波器在TI公司DSPTMS320LF2407A上實現。通過
2009-12-18 15:53:56
101 基于CCS環境和MATLAB仿真的FIR數字濾波器實現::在DSP芯片上實現數字濾波器算法的傳統做法是用匯編語言編寫軟件來實現的。但是匯編語言的編程效率較低,程序的可讀性差。本文主
2010-01-02 10:42:52
145 本文主要討論帶不等式約束的線性相位FIR數字濾波器的Chebyshev設計問題。我們知道,交錯點組定理是Remez算法的理論基礎,而此算法很好的解決了無約束線性相位FIR數字濾波器Chebyshev
2010-01-12 18:56:03
20 基于頻率采樣法FIR數字濾波器的設計:在研究FIR數字濾波器的基礎上,介紹了應用MATLAB軟件設計有限長沖激響應(FIR)數字濾波器的流程。并以低通數字濾波器為例實現仿真過程。仿真
2010-03-31 09:23:35
67 DSP教程之數字濾波器
DIGITAL FILTERS Finite Impulse Response (FIR) Filters Infinite Impulse Response (IIR) Filters Multirate Filters Adaptive Filters
2010-04-10 11:02:30
29 基于Matlab的數字濾波器的設計與應用研究摘 要:數字濾波是語音和圖像處理、模式識別、譜分析等應用中的一個基本處理算法,在數字信號處理中占有極其重要的
2010-05-14 14:05:21
72 用MATLAB輔助設計IIR數字濾波器摘 要:論述了用MATLAB求解IIR數字濾波器系數的原理和函數以及這些函數的使用方法,并給出設計實例以供參考。關鍵詞:數字濾波器
2010-05-14 14:08:02
76 什么是fir數字濾波器
Part 1: Basics1.1 什么是FIR濾波器?FIR 濾波器是在數字信號處理(DSP)中經常使用的兩種
2008-01-16 09:42:22
17578 FIR并行濾波器設計
數字濾波器可以濾除多余的噪聲,擴展信號頻帶,完成信號預調,改變信號的特定頻譜分量,從而得到預期的結果。數字濾波器在DVB、
2008-01-16 09:47:09
1669 
用FPGA設計的四階IIR數字濾波器
常用的數字濾波器有FIR數字濾波器和IIR數字濾波器?FIR數字濾波器具有精確的線性相位特性,在信號處理方面應用極為
2008-01-16 18:15:56
1668 
數字濾波器的設計實驗
一. 數字濾波器設計:(1) 數字濾波器設計步驟:a. 整理給定的濾波器設計要求
2008-10-30 13:34:16
6169 
?摘 要:介紹了一種利用ALTERA公司的復雜可編程邏輯器件(CPLD)快速卷積法實現數字濾波器的設計??? 關鍵詞:CPLD 數字濾波器 信號處理
2009-06-20 14:23:56
1317 
什么是數字濾波器
數字濾波器(digital filter)是由數字乘法器、加法器
2009-06-30 12:37:24
4252 
基于LabVIEW的FIR數字濾波器設計
介紹一種基于LabVIEW快速有效地設計常規FIR數字濾波器的方法,并給出了設計實例。因可以隨時對比設計要求調整參數
2009-10-16 09:24:54
6675 
用DSP實現FIR數字濾波器
FIR濾波器具有幅度特性可隨意設計、線性相位特性可嚴格精確保證等優點,因此在要求相位線性信道的現代電子系統,如圖
2009-10-21 18:31:09
2643 
基于MATLAB與QUARTUS II的FIR濾波器設計與驗證
1 引言 FIR數字濾波器能夠滿足濾波器對幅度和相位特性的嚴格要求,避免模擬濾波器的溫漂和噪聲等問題,
2009-12-12 11:23:42
3128 
基于DSP/BIOS的FIR數字濾波器設計與實現
1 引言
數字信號處理器(DSP)擁有強大的數字信號處理能力,與其配套的集成可視化開發環境CCS(Coder Co
2009-12-16 10:23:04
1569 
數字濾波器,數字濾波器原理是什么?
在信號處理領域中,對于信號處理的實時性、快速性的要求越來越高。而在許多信息處理過程中
2010-03-24 14:06:05
29290 數字濾波器的MATLAB與DSP上設計實現
概述:以窗函數法設計線性相位FIR數字濾波器為例,介紹用MATLAB工具軟件設計數字濾波器的方法和在定點DSP
2010-04-12 09:32:31
2141 
摘要:數字濾波器在數字信號處理的各種應用中有著廣泛的應用。數字濾波器既可以是有限長單脈沖響應(FIR)濾 波器也可以是無限長單脈沖響應(IIR)濾波器。通過兩者特點的比較,按照
2011-03-31 09:51:03
82 目前數字濾波器的硬件實現方法通常采用專用DSP芯片或FPGA,本文從FIR濾波器的系數考慮,采用CSD編碼,對FIR數字濾波器進行優化設計。
2011-08-16 10:54:41
4210 
提出FIR敷字濾波器的設計方案,并基于Matlab實現濾波仿真。通過使用Matlab信號處理工具箱提供的函數,選擇適當的窗函數編寫程序,其中窗函數按照實際信號的處理需求,參數折中選
2011-11-06 11:26:27
8175 
數字濾波器是數字信號處理領域內的重要組成部分。FIR濾波器又以其嚴格的線性相位及穩定性高等特性被廣泛應用。本文結合MATLAB工具軟件介紹了FIR數字濾波器的設計方法,并在Xilinx的
2012-09-25 11:34:08
120 分析了數字濾波器的原理,介紹了采用窗體函數法完成FIR數字濾波器,包括MATLAB仿真和DSP的實現方法。通過MATLAB仿真驗證了所設計的濾波器具有良好的濾波功能,以TMS320F2812DSP為核心器
2013-06-09 16:21:33
158 基于數字信號處理原理,在分析數字濾波器設計理論和Matlab編程技術及其GUI圖形用戶界面設計的基礎上,開發了具有交互式特點的數字濾波器軟件,界面操作簡單方便,可以根據需要選
2013-09-25 17:27:34
119 基于Matlab/Simulink的FIR數字濾波器的設計與實現。
2016-01-15 15:16:20
42 基于LabVIEW的FIR數字濾波器設計。
2016-01-20 16:30:01
55 基于labview的FIR數字濾波器的設計,其中用到雙選通信號,能夠有效的看到效果。
2016-03-16 13:53:45
27 基于Simulink的FIR數字濾波器的仿真。
2016-05-17 09:49:51
1 用CPLD實現FIR數字濾波器的設計,下來看看
2017-01-10 21:35:20
15 用CPLD實現FIR數字濾波器,好資料,下來看看
2017-01-10 21:35:20
24 Matlab輔助DSP實現FIR數字濾波器
2017-10-20 09:34:04
6 l 引 言 隨著信息技術和計算機技術的飛速發展,數字信號處理技術在眾多領域得到廣泛應用。數字濾波器由于其精度高、穩定性好、使用靈活等優點,廣泛應用在各種數字信號處理領域。數字濾波器根據沖擊響應函數
2017-10-23 11:06:14
2 數字濾波器的種類很多, 分類的方法也不盡相同。從數字濾波器的單位沖擊響應來看, 數字濾波器分為有限沖激響應數字濾波器(FIR) 和無限沖激響應數字濾波器(IIR)。相對于IIR濾波器,FIR濾波器
2018-07-31 08:07:00
11904 
在數字信號處理中,數字濾波器的應用是極其廣泛和重要的單元。與模擬濾波器相比,數字濾波器可以克服模擬濾波器所無法克服的電壓漂移,溫度漂移以及噪聲等問題。數字濾波器根據沖擊響應函數的特性,可以分為IIR濾波器和FIR濾波器兩種。由于FIR濾波器只有零點、系統穩定等諸多優點。
2018-07-20 14:32:00
5878 
文中基于分布式算法實現FIR數字濾波器的設計方案。該方案分為3部分,首先是利用Mat-lab軟件產生需要的數據;使用FDATool工具包生成濾波算法所需要的系數;完成ROM查找表中數據的計算。第二部
2017-12-07 16:22:09
6 螞蟻算法中參數的準確分析和合理配置直接影響著算法的性能。在已完成的螞蟻算法應用于有限沖激響應( Finite impulse rcsponse,FIR)數字濾波器優化設計研究基礎上,分析了各個參數
2018-03-07 10:48:37
7 本文首先介紹了數字濾波器的原理,其次介紹了數字濾波器分類,最后介紹了五種不同數字濾波器的設計方法與步驟。
2018-04-20 10:40:59
131658 
本文主要介紹了基于matlab的數字濾波器的設計及數字濾波器基本結構。
2018-06-05 08:00:00
27 本文檔的主要內容詳細介紹的是DSP設計教程之用定時器實現數字振蕩器和FIR數字濾波器設計的資料說明
2019-03-22 16:45:13
15 本文闡述了數字濾波器的特點和設計方法,對FIR和IIR濾波器進行了比較,對數字濾波器的應用范圍、應用前景和發展歷程作了詳細的說明。介紹了利用MATLAB設計FIR濾波器的各種方法(包含窗函數設計法
2019-08-15 17:50:49
17 數字濾波器在通信、自動控制、雷達、軍事、航空航天、醫療、家用電器等眾多領域得到了廣泛的應用。其中IIR數字濾波器和FIR數字濾波器是目前人們使用較多的兩種。數字濾波器通常采用計算機軟件、專用
2020-08-06 18:50:00
3 數字濾波器設計,使用CCS實現FISK數據輸入,使用FR濾波器對FISK調制信號進行處理,輸出需要波形與頻譜。文中采用線性緩沖區和帶移位雙操作尋址方法實現FR濾波器。以窗函數法設計線性相位FIR數字濾波器為例,介紹用 MATLAB工具軟件設計數字濾波器的方法和
2020-11-06 17:59:18
20 數字濾波器的輸入輸出均為數字信號,信號通過數字濾波器后,可以改變頻率成分的相對比例或濾除某些頻率成分。數字濾波器可以分為IIR數字濾波器和FIR數字濾波器。
2022-04-05 09:47:00
6548 數字濾波器、FIR濾波器生成器、鎖相放大器三個儀器功能。用戶現在可以使用數字濾波器來創建IIR濾波器,使用FIR濾波器生成器來設計FIR濾波器,使用鎖相放大器從噪聲環境中提取已知頻率的信號。
2022-04-22 14:11:52
1507 
FIR數字濾波器具有線性相位的充分條件是什么?IIR濾波器的基本結構分為直接I型、直接II型、還有哪兩種呢?
2022-10-12 09:03:38
25063 1 第七章主要內容及考點 IIR和FIR數字濾波器的特點 IIR數字濾波器 單位取樣響應無限長 網絡結構有反饋 零極點或全極點系統 可以利用模擬濾波器進行設計 FIR數字濾波器 單位取樣響應有限長
2023-01-16 17:17:12
5234 信號,通過數字濾波器算法對其進行濾波操作,然后再經過模數轉換器輸出為模擬信號。常用的數字濾波器算法包括FIR濾波器和IIR濾波器。
2023-02-24 11:23:36
6615 數字濾波器、FIR濾波器生成器、鎖相放大器三個儀器功能。用戶現在可以使用數字濾波器來創建IIR濾波器,使用FIR濾波器生成器來設計FIR濾波器,使用鎖相放大器從噪聲
2022-03-23 15:13:20
1365 
介紹了基于Matlab和DSP設計FIR數字濾波器的四種方法,并經過實驗,將一個多頻率成分的信號通過該濾波器并進行比對,實驗結果表明,這四種方法都能有效地實現FIR濾波器的設計任務。
2023-10-19 16:29:55
0 電子發燒友網站提供《FIR數字濾波器的理論和設計.rar》資料免費下載
2023-11-18 14:56:03
9 在數字信號處理系統中,有限脈沖響應(finite impulse response,FIR)數字濾波器是一個非常重要的基本單元。近年來,由于FPGA具有高速度、高集成度和高可靠性的特點而得到快速發展
2024-11-05 16:26:54
2538 
評論