有源四階低通濾波器
該
2009-09-16 17:48:32
10134 
低通濾波器是用來通過低頻信號衰減或抑制高頻信號,典型的二階有源低通濾波器由兩級RC濾波環節與同相比例運算電路組成,其中第一級電容C接至輸出端,引入適量的正反饋,以改善幅頻特性。增益為1的二階有源低通濾波器如圖所示。
2017-07-24 14:36:00
31188 
有源濾波器的特點及分類
有源濾波器的特點
有源濾波器的
2010-05-19 11:47:10
17658 
本文論述了基于TMS320F28234的自適應濾波器系統的設計方案。方案中的自適應濾波器能夠在沒有任何關于信號和噪聲的先驗知識的條件下,達到最優濾波的目的。
2013-11-05 09:54:31
14088 
模擬濾波器集分為無源濾波器和有源濾波器組成,其中無源濾波器由R、L、C組成,有源濾波器由集成運放和R、C組成,不需要使用電感。集成運放的開環電壓增益和輸入阻抗均很高,輸出電阻小,構成有源濾波電路后
2014-04-24 11:49:12
20275 傳統的帶通濾波器設計方法中涉及了很多復雜的理論分析和計算。針對上述缺點,介紹一種使用EDA軟件進行帶通濾波器的設計方案,詳細闡述了使用FilterPro軟件進行有源帶通濾波器電路的設計步驟,然后給出
2023-12-01 17:10:40
10900 
本實例使用SaberEXP軟件描述了有源低通濾波器的工作原理。通過級聯一階和二階濾波器來顯示提高濾波器階數的效果。
2023-12-06 10:52:20
2449 
在使用有源濾波器時,怎么根據電容電感的數量判斷濾波器是幾階的?在運放濾波器的分析中,輸出到輸入的電容起到什么作用,不理解這個反饋的意圖何指?在有源濾波器中,虛短虛斷是否還成立嗎?
2024-01-20 12:31:58
有源濾波器精確設計手冊第102頁4階MFB巴特沃斯帶通濾波器例子的計算
2023-09-26 06:39:29
有源濾波器精確設計手冊第102頁4階MFB巴特沃斯帶通濾波器例子的計算
2020-03-11 09:42:55
有源濾波器精確設計手冊第130頁8階橢圓函數帶通濾波器例子的計算
2020-03-12 08:17:33
本帖最后由 gk320830 于 2015-3-4 19:23 編輯
模擬電子技術部分,二階有源濾波器的原理!
2013-08-26 10:11:14
采用Tow-thomas結構做了一個有源四階RC濾波器,為什么總是第二個雙二階的環路相位裕度要差得多,兩個不是同樣的結構嗎,求大神解答疑惑?
2020-05-26 12:23:51
模擬濾波器的公式轉換成數字濾波器的公式。 4、IIR數字濾波器的相位特性不好控制,對相位要求較高時,需加相位校準網絡。 圖2IIR濾波器機構的表示方法 在matlab下設計IIR濾波器可使
2016-08-08 08:49:32
如何設計一個二階有源帶通濾波器,中心頻率1600hz,帶寬3000.R和C的大小如何設定?謝謝!
2009-03-30 10:56:41
請問誰有protel *** 的有源二階低通濾波器電路設計,電路圖還有電路仿真哦。。。
2014-11-02 16:02:40
通用4階有源濾波器模塊經過精心設計,用戶可以利用它設計出自己想要的不同種類的濾波器。該模塊主要特點: 1、支持4種濾波器:低通、高通、帶通、帶阻。 2、每種濾波器采用sallen key型,可自由
2013-08-03 13:51:51
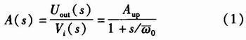
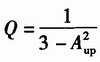
1引入為什么要用有源二階濾波器?(1)從有源來說對于無源二階低通濾波器:其幅頻方程為:我們從中可以看出其通帶截止頻率為有其品質因子為0.372。我們根據上圖得到二階無源低通濾波器的品質因子只有
2021-11-12 07:06:10
二階有源RC低通濾波器的分析
2012-08-18 15:57:45
與要求1.1 設計任務1、學習RC有源濾波器的設計方法;2、由濾波器設計指標計算電路元件參數;3、設計二階RC有源濾波器(低通、高通、帶通、帶阻);4、掌握有源濾波器的測試方法;5、測量有源濾波器
2014-02-25 22:01:29
元件的不同又可分為有源濾波器和無源濾波器。有源濾波器是指網絡由電阻、電容及有源器件(三極管、運算放大器等, 通常是運算放大器)構成。然而實際的濾波器距此有一定的差異,為此我們需要采用高階電路逼近
2019-01-23 23:06:36
大家好,我們做一個四階RC有源低通濾波器。電路已經在Multisim上仿真成功,截止頻率600Hz,運放使用Ne5532p。現在問題是我們實際焊接完電路后,示波器輸出的正弦波不穩定,有時候出現幅值
2023-04-06 22:11:31
如何利用LM324設計一個二階的音頻有源帶通濾波器?
2016-01-20 15:11:16
MATLAB怎么進行軟件濾波仿真一階二階電路濾波器的軟件方式實現
2021-04-06 08:11:53
如圖所示為甚低頻有源濾波電路。這是一個巴特沃茲四階有源低通濾波器,適用于濾除直流電平信號上的甚低頻隨機脈沖噪聲干擾電壓,其截止頻率(-3dB)約為8Hz,在18Hz處,增益下降20dB。通帶內固有
2009-12-07 17:13:00
本人現在正在做rc有源濾波器,有幾個問題想請教一下大家。二階低通、高通的已做好,但直接級聯后截止頻率不在3分貝點而是在6分分貝點,這種結果對嗎?第二個問題是用高通和低通做帶通濾波器,用pspice
2012-05-25 13:26:14
電路中的每個電抗性組件都會相應增加一階。當頻率相同時,每一階會讓斜率變得更大,每八度增加6dB。濾波器的階數越高,響應曲線越接近垂直,如圖1.0所示。 模擬或數字 采用數字方案要取決于許多因素;數字
2019-05-27 05:00:04
求一個二階有源濾波器的型號,他的負反饋上沒有負載,相當于電壓跟隨器。同相端是RC連接的濾波,反饋上是一個電容。求解,急用!
2018-11-07 09:00:18
本帖最后由 gk320830 于 2015-3-5 12:40 編輯
要用二階有源濾波器慮方波從而得到直流分量(單片機輸出的是方波),運放LM358要求單端供電。我用multisim仿真的時候輸入端可以看到調整方波占空比直流分量在變化,但是輸出端則會出現正弦振蕩最后輸出為零,求解釋
2014-05-15 15:43:43
程控二階有源帶通濾波器 設計一個中心頻率可控的二階有源帶通濾波器,具體要求如下:(1)帶通濾波器的中心頻率可有二進制數控制。(2)帶通濾波器的中心頻率調節范圍100Hz~20kHz。(3)輸入正弦
2021-07-12 20:11:20
本帖最后由 gk320830 于 2015-3-5 04:41 編輯
今天設計了一個二階低通有源濾波器,請各位指點一下。參數要求:截止頻率fc=300Hz,Q=1, 衰減-40/十倍頻程 取
2012-11-29 18:59:28
已知上圖的二階有源帶通濾波器的傳輸函數,如何求得中心頻率f。以及在f。下的增益。請教此題困擾我好久了。謝謝,跪求!??!
2019-01-18 16:11:26
無源濾波器:這種電路主要有無源元件R、L和C組成。有源濾波器:集成運放和R、C組成,具有不用電感、體積小、重量輕等優點。集成運放的開環電壓增益和輸入阻抗均很高,輸出電阻小,構成有源濾波電路后還具
2011-07-28 10:01:48
DC675A-D,演示電路采用LT1568CGN,單4階,1MHz帶通濾波器。 LT1568是一款雙二階有源RC濾波器構建模塊,帶有內部電容器和內部低噪聲運算放大器,帶有經過修整的GBW產品
2019-03-01 06:32:39
13.2 有源低通濾波器(LPF)13.2.1 低通濾波器的主要技術指標13.2.2 簡單一階低通有源濾波器13.2.3 簡單二階低通有源濾波器13.2.4 二階壓控型低通有源濾波器13.2.5 二階反
2008-05-13 08:35:39
224 RC有源濾波器的快速設計:掌握低通、高通、帶通、帶阻等最基本的二階RC有源濾波器的快速設計方法與性能參數的測試技術。
重點:二階RC有源濾波器的快速設計方法。難
2008-12-01 08:23:01
336 1) 學習有源濾波器的設計方法;2) 掌握有源濾波器的安裝與調試方法;3) 了解電阻、電容和Q值對濾波性能的影響。1)根據有源濾波器的技術指標要求,選擇逼近函數,選用
2008-12-01 11:41:34
77 集成運放在信號處理方面的應用-有源濾波器的設計與調試:1.熟悉二階有源濾波器的基本原理、電路結構和基本性能。2.學會二階有源濾波器的基本設計方法。3.熟悉二階
2009-12-08 16:36:32
79 MAX274/275 是MAXIM 公司推出的一種4 階(MAX274)和8 階(MAX275)連續時間有源濾波器,內部有數個(MAX275 為4 個,MAX274 為2 個)2 階狀態可變濾波器單元,可實現巴特沃斯型、貝塞爾型及切
2010-08-23 18:15:02
77 二階低通濾波器的安裝與測試 ①參照圖4電路安裝二階低通濾波器。元件值?。篟1 = R2 = R = 1.6k,R3 = 82k
2010-09-03 15:39:54
322 濾波是信號處理中非常重要的一個步驟,常用器件就是濾波器,濾波使輸出電壓紋波系數降低,波形變得比較平滑。濾波器的階數可分為一階、二階和高階,階數越高,幅頻特性越陡峭,高階濾波器通??捎梢?b class="flag-6" style="color: red">階和二階濾波器級聯而成。
2017-07-24 18:20:00
37761 
二階低通有源濾波器電路
2008-06-14 12:28:46
8185 
一階有源濾波器的電路如圖所示:其幅頻特性見圖,圖中虛線為理想的情況,實線為實際的情況;一階有源濾波器電路的特點是電路簡單,阻帶衰減太慢,選擇性較差。
2017-07-24 12:56:00
37518 有源濾波器的設計與測量
一、 驗目的:1.學習根據給定的條件,簡單設計二階壓控電壓源式LPF、HPF 和BPF。2.練習根據實驗內容,自己
2009-03-09 10:29:54
2827 
二階高通有源濾波器電路圖
2009-03-30 09:17:04
2748 
有源濾波器
2009-04-15 10:51:48
863 
有源濾波器設計任務書
一、設計目的
1. 熟悉二階有源濾波電路幅頻特性和
2009-05-08 08:47:48
7201 
有源濾波器的主電路
圖1有源濾波器的主電路
有源電力濾波器一般設計成電壓
2009-07-18 11:54:14
2512 
有源濾波器的等效電路
圖 有源濾波器的等效電路
在有源濾波器中,每個半橋臂由全控
2009-07-18 11:55:11
1471 
有源話音二階帶通濾波器
該
2009-09-16 18:01:26
1757 
50Hz四階有源高通濾波器
該電路次阿姨LM1458型或累時型號的運算
2009-09-17 14:42:32
4806 
有源濾波器,有源濾波器是什么意思
一、基本概念: 有源電力濾波器(APF)是一種用于動態抑制諧波、補償無功的新型電力電
2010-03-24 14:09:19
5215 有源濾波器的特點
有源濾波器的頻率范圍是由直流到500KHZ,在低頻范圍內已取代了傳統的LC濾波器。特別是在很低頻率下不可能實現LC濾波器,但有源濾波器
2010-05-19 10:31:01
6487 二階有源濾波器的傳輸函數
在有源濾波器的設計中,高階濾波器的傳輸函數都可以分解成一階和多個二階傳輸函數的乘積。一階傳輸函數比較簡單,二階函
2010-05-23 10:31:24
20613 
濾波器是一種只傳輸指定頻段信號,抑制其它頻段信號的電路。 濾波器分為無源濾波器與有源濾波器兩種: ① 無源濾波器: 由電感L、電容C及電阻R等無源元件組成 ② 有源濾波器: 一般
2011-04-13 11:02:01
1049 摘 要 提出一種使用第二代電流傳輸器構成的二階帶通有源濾波器電路,它既可實現電壓濾波功能,也可 實現電流濾波功能. 關鍵詞 有源濾波器,電流傳輸器.
2011-04-13 11:11:52
665 本文講述了高階有源帶通濾波器的組成原理,對正反饋二階帶通濾波器和多階諧振型帶通濾波器作了全面的分析;提出了設計多階諧振型帶通濾波器的方法,并成功的設計出一款高性能的六
2011-07-14 15:33:47
139 提出了一種設計4階Chebyshev有源濾波器的新方法。采用Pspice仿真軟件對Chebyshev 4階有源濾波器進行了仿真分析,結果表明該電路具有較高的穩定性。
2012-02-13 15:34:23
34 本文在對VCVS濾波電路的傳遞函數分析的基礎上, 根據濾波器性能參數及設計要求確定了二階有源低通濾波電路中電容和電阻值。在Multisim 環境下建立了濾波電路模型, 并對其進行了時域和
2012-04-25 14:55:19
96 4階24倍抽取CIC濾波器設計,有興趣的同學可以下載學習
2016-04-27 15:51:58
27 本文為您帶來二階有源帶通濾波器設計具體流程,帶通濾波器原理圖電路圖含義、帶通濾波器方案選擇、仿真,電路性能測試,直流穩壓電源設計、運放及電壓跟隨器選擇。
2016-10-11 16:41:51
225156 
從濾波器階數可分為一階和高階,階數越高,幅頻特性越陡峭,高階濾波器通常可由一階和二階濾波器級聯而成。一階有源濾波電路的基礎上再加一節RC低通濾波環節,稱為二階有源濾波電路。
2017-07-24 15:41:26
233967 
如濾波電路中含有有源元件,如集成運放等,則稱為有源濾波器,一階有源低通濾波電路是組成二階、高階有源低通濾波電路的最小單元,下圖a和b是用運算放大器設計的兩種一階Butterworth濾波電路的電路。圖a是反相輸入一階低通濾波器,實際上就是一個積分電路,其分析方法與一階積分電路相同。
2017-07-24 20:03:30
183711 
通濾波器。僅由電阻、電容、電感這些無源元件組成的濾波電路稱為無源濾波器。如果濾波電路中含有有源元件,如集成運放等,則稱為有源濾波器。與無源濾波器相比,有源濾波器具有體積小、效率高、帶負載能力強、頻率特性好,而且在濾波的同時還可以將有用信號放大等一系列優點,因而得到廣泛應用。
2017-08-16 17:28:42
95671 
實驗目的和要求:1.掌握有源濾波器的分析和設計方法。2.學習有源濾波器的調試、幅頻特性的測量方法。3.了解濾波器的結構和參數對濾波器性能的影響。4.用EDA 仿真的方法來研究濾波電路,了解元件參數對濾波效果的影響。
2017-10-25 15:15:23
62042 
在進行濾波器的設計之前,首先需要理解的是濾波器的頻率響應的問題。圖1.6簡單示出各種5階低通濾波器的特性。
2018-02-05 19:23:47
17299 的5 kW有源前端的LCL濾波器設計方案,利用Matlab/Simulink軟件對提出的LCL設計方案進行了仿真分析,將設計的模型與理想模型進行了波特圖對比,從頻域的角度論證了方案的有效性,并在軟件上進行了電路仿真,從系統的角度驗證了方案的可行性
2018-03-02 11:41:48
2 本文首先闡述了LC濾波器的原理,其次介紹了二階LC橢圓低通濾波器電路,最后介紹了二階低通濾波器的詳細設計方案。
2018-04-20 09:14:00
230225 
本文首先介紹了有源電力濾波器的作用,其次介紹了有源電力濾波器的優缺點,最后闡述了有源電力濾波器發展趨勢。有源電力濾波器的優點:1、有較快的響應能力、2、可靠性高、3、有著大容量的補償力、4、簡單的操作方法和結構、5、高性價比、6、節能降耗能力。
2018-08-30 18:58:49
15315 本文首先介紹了有源濾波器的特點,其次介紹了有源濾波器分類。有源濾波器,又名APF,目前其在配電系統中的應用越來越廣泛了,它通常被打包在成套柜內一起供貨。有源電力濾波器是一種用于動態抑制諧波、補償無功的新型電力電子裝置,它能夠對大小和頻率都變化的諧波以及變化的無功進行補償。
2018-08-30 19:02:37
12962 本文首先介紹了有源濾波器設計方法,其次闡述了有源濾波器設計步驟,最后介紹了有源濾波器設計范例。根據技術指標要求,求出可以物理實現的轉移函數(通??捎涩F成的有源濾波器資料和手冊中查得),并將它分解為
2018-08-31 17:41:03
17848 本文首先介紹了有源濾波結構圖,其次介紹了有源濾波器原理圖,最后介紹了有源濾波器的作用。有源濾波器之所以稱為有源,顧名思義該裝置需要提供電源(用以補償主電路的諧波),其應用可克服LC濾波器等傳統的諧波抑制和無功補償方法的缺點(傳統的只能固定補償),實現了動態跟蹤補償,而且可以既補諧波又補無功。
2018-08-31 17:49:20
38707 本文檔的主要內容詳細介紹的是有源濾波器的仿真詳細資料免費下載主要內容包括了:帶通有源濾波器,帶阻有源濾波器,低通有源濾波器,一階高通有源濾波器Multisim 14軟件進行的仿真。
2018-10-29 08:00:00
71 ti應用報告文檔,介紹了有源低通濾波器的設計要點,主要講了二階有源低通濾波器,根據資料中的介紹,可以直接使用表格中的數據,對元器件參數直接計算。
2019-12-16 08:00:00
39 等于濾波器中電感和電容的數目。如果無源濾波器有兩個電容和兩個電感,則n=4,如果有五個電感和電容,則n=10.因此,濾波器的階數說明了濾波器的復雜程度,階數越高,濾波器越復雜。
2020-08-24 16:40:34
54945 
有源濾波器廣泛應用于數字信號處理、通信、自動控制領域,但設計可變寬頻帶有源濾波器則比較困難。利用單片機控制參數可編程的雙二階通用開關電容有源濾波器,精確設置有源濾波器的中心頻率fO,品質因數Q及有源濾波器的工作方式。
2021-05-18 09:47:23
2232 簡易LC濾波器設計方案
2021-06-22 10:01:49
85 1引入為什么要用有源二階濾波器?(1)從有源來說對于無源二階低通濾波器:其幅頻方程為:我們從中可以看出其通帶截止頻率為有其品質因子為0.372。我們根據上圖得到二階無源低通濾波器的品質因子只有
2021-11-06 20:51:00
114 要有供電電源才能正常工作的元件,最常見的有源元件是運算放大器。如何判斷濾波器的階數一般來說,判斷濾波器的階數主要的方法就是數電路中電容電感的個數,幾個就代表幾階濾波器。但是,在數電容電感個數前,要將電路...
2022-01-10 14:27:27
30 一階有源濾波器原理詳解
2022-11-14 09:52:23
3749 階有源濾波器的典型結構,二階有源低通濾波器仿真分析
2022-11-15 12:46:44
2275 二階有源高通濾波器原理詳解
2022-11-18 09:48:10
5133 二階有源帶通濾波器原理詳解
2022-11-21 11:00:49
5701 有源濾波器是整治諧波的合理的方法,那麼如何挑選有源濾波器就變成了難點。選擇有源濾波器時,應考慮的因素包括:頻率范圍、增益、抑制電網中的電磁干擾、放大器的噪聲等。應根據應用的要求,確定有源濾波器的參數,以確保其能夠滿足應用的要求。
2023-02-22 11:05:11
3821 AN013 CLA方波濾波器設計方案
2023-02-23 19:07:05
0 sallen-key二階有源低通濾波器仿真設計
2023-04-18 14:45:40
9650 
當我們談論到電力系統中的濾波器時,有源濾波器無疑是一個重要的話題。有源濾波器可以對電網帶來深遠的影響。既如此,有源濾波器對于電網都有哪些影響呢?
2023-10-11 15:23:37
1765 兆易創新AN013CLA方波濾波器設計方案AN013CLA方波濾波器設計方案
2022-10-19 17:26:19
0 級聯法和模擬法兩大類。1、級聯法根據技術指標要求,求出可以物理實現的轉移函數(通常可由現成的有源濾波器資料和手冊中查得),并將它分解為低階函數(主要是二階函數)之
2023-11-07 08:07:39
2440 
切比雪夫濾波器是一種常用的數字濾波器,用于對信號進行頻率域處理。切比雪夫濾波器的階數是一個重要的參數,它影響濾波器的性能和特性。 首先,我們需要了解什么是切比雪夫濾波器。切比雪夫濾波器是一種無限
2023-12-08 10:55:00
2613 二階濾波器和一階濾波器有何特點?兩者有什么不同呢? 二階濾波器和一階濾波器是電子系統中常用的兩種濾波器。它們都能夠用來改變輸入信號的頻率特性,去除不需要的頻率分量或者強調特定的頻率分量。 1. 構造
2024-02-05 09:12:33
10698 一階有源低通濾波器是一種常見的信號處理元件,廣泛應用于信號調理、數據采集和通信系統。
2024-05-22 16:23:53
4034 濾波器的階數是決定濾波器性能的關鍵參數之一,它直接影響濾波器的帶寬、過渡帶和阻帶衰減等特性。 濾波器的設計目標 濾波器的設計目標是確定濾波器階數的首要因素。根據設計目標的不同,濾波器可以分為
2024-08-15 10:25:14
3792 濾波器的階數是濾波器設計中的一個重要參數,它直接影響著濾波器的性能指標。 濾波器的幅度特性 濾波器的幅度特性是指濾波器對不同頻率信號的放大或衰減程度。濾波器的階數越高,其幅度特性越陡峭,即濾波器
2024-08-15 10:26:38
4470 無源濾波器和有源濾波器在多個方面存在顯著差異。無源濾波器以其低成本和簡單結構在大容量濾波場合具有廣泛應用;而有源濾波器則以其卓越的濾波性能和靈活性在小電流、高精度要求的場合展現出獨特優勢。
2024-09-26 16:23:55
2624
評論